🇳🇴 🇬🇧 🇩🇪 🇨🇿 🇫🇮

Meteor, poloha: Tromsø 2022-11-16 00:40:47 UTC

Soubor KML  |  InteraktivnĂ­ mapa

Mapa zobrazuje dráhy meteoru. Světlejší čáry ukazují směry od pozorovacích stanic při objevení se meteoru a tmavší čáry, kde byl naposledy viděn. Modrá šipka značí viditelnou dráhu meteoru.

static map
height profile
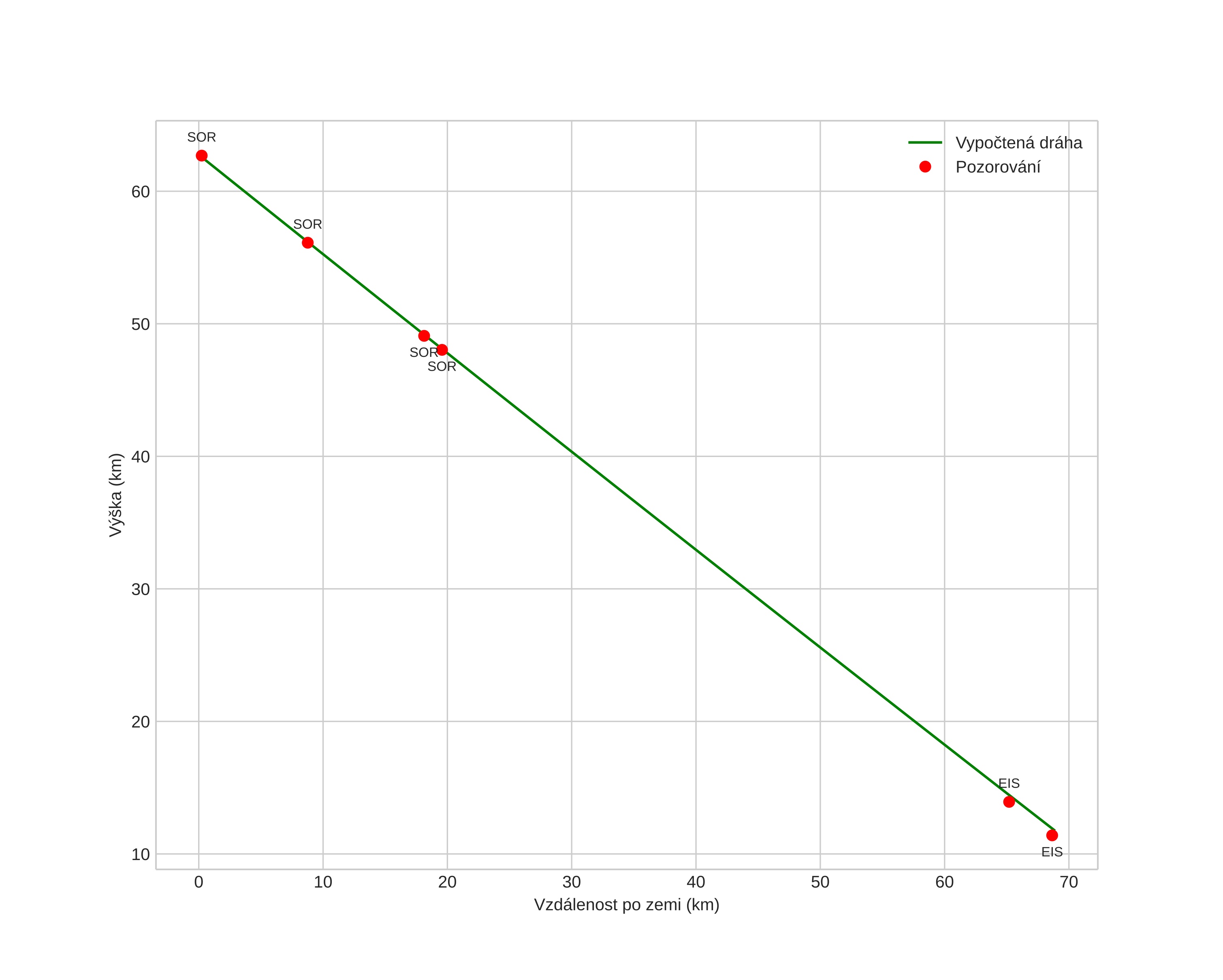
Atmosférická dráha meteoru:
Počáteční výška: 64,3 km
Konečná výška: 3,3 km
Počáteční poloha: 68,968N 18,299E
Konečná poloha: 69,578N 19,159E
Směr: 26,1°
Sklon: 38,8°
VstupnĂ­ rychlost: 37,2 km/s
Rektascenze radiantu: 04:05 (61,4°)
Deklinace radiantu: 18,1°
MeteorickĂ˝ roj: sporadickĂ˝
Elementy dráhy meteoroidu:
Vzdálenost v periheliu: 0,322 AU
Excentricita: 1,017
Sklon dráhy: 3,9°
Délka vzestupného uzlu: 53,4°
Argument perihelia: 109,7°
Střední anomálie: -0,4°
Epocha: 2022 NOV 16 00:40:47
orbit plot

NeinteraktivnĂ­ graf | InteraktivnĂ­ graf

position vs time
speed and acceleration