🇳🇴 🇬🇧 🇩🇪 🇨🇿 🇫🇮

Meteor Tromsøin yllä 2022-11-16 00:40:47 UTC

KML-tiedosto  |  Interaktiivinen kartta

Kartta näyttää meteorin suuntahavainnot. Vaaleammat viivat näyttävät suunnat havaintoasemilta meteorin ilmestyessä, ja tummemmat viivat näyttävät, missä se viimeksi nähtiin. Sininen nuoli näyttää meteorin näkyvän lennon.

static map
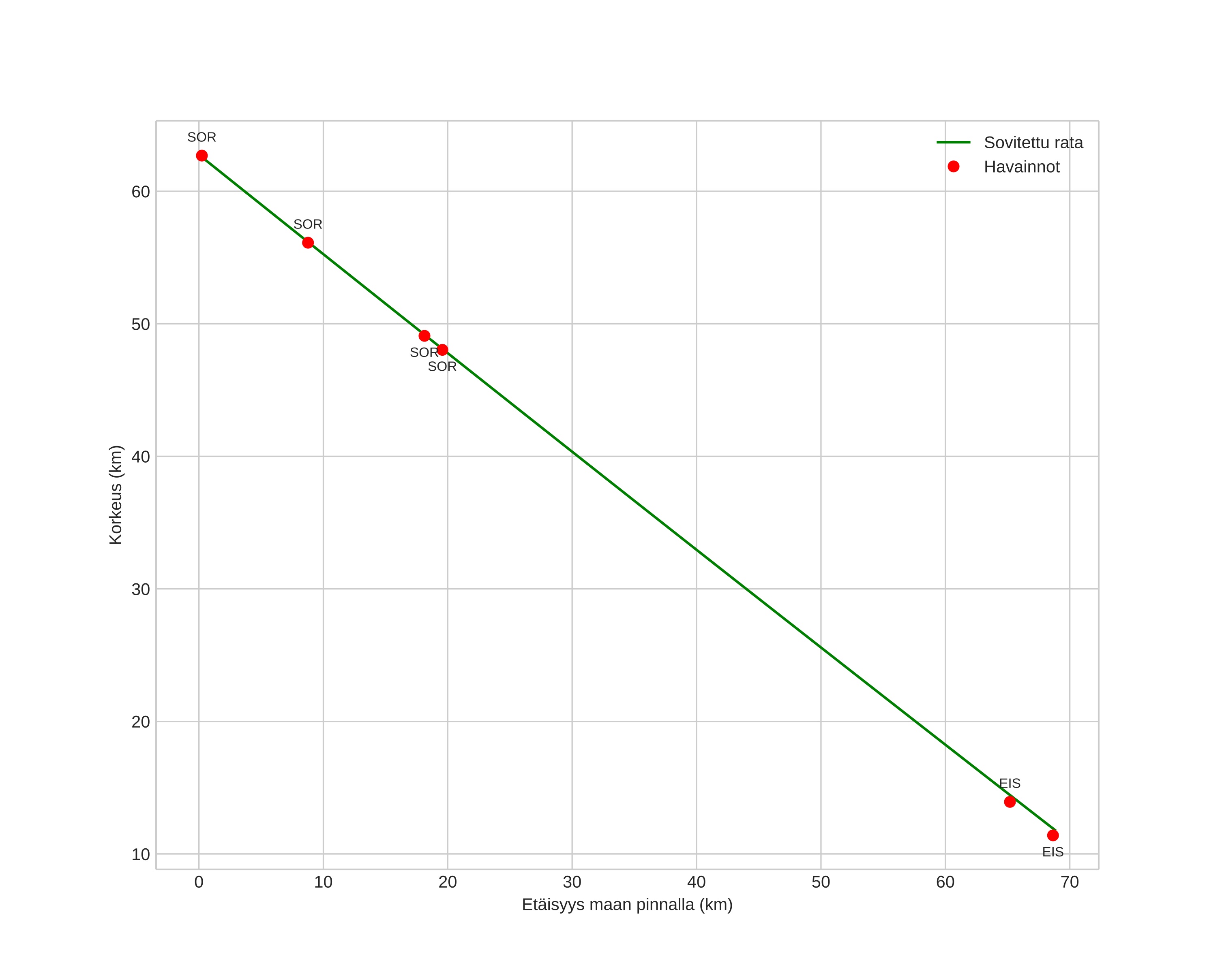
height profile
Meteorin ilmakehärata:
Alkukorkeus: 64,3 km
Loppukorkeus: 3,3 km
Alkupiste: 68,968N 18,299E
Loppupiste: 69,578N 19,159E
Suunta: 26,1°
Kallistuskulma: 38,8°
Tulonopeus: 37,2 km/s
Radiantin R,A,: 04:05 (61,4°)
Radiantin Dekl,: 18,1°
Meteoriparvi: Sporadinen
Meteoroidin rataelementit:
Perihelietäisyys: 0,322 AU
Eksentrisyys: 1,017
Inklinaatio: 3,9°
Nousevan solmun pituus: 53,4°
Perihelin argumentti: 109,7°
Keskianomalia: -0,4°
Epookki: 2022 NOV 16 00:40:47
orbit plot

Ei-interaktiivinen kuvaaja | Interaktiivinen kuvaaja

position vs time
speed and acceleration