🇳🇴 🇬🇧 🇩🇪 🇨🇿 🇫🇮

Meteor, poloha: Hammerfest 2022-11-16 01:00:19 UTC

Soubor KML

Mapa zobrazuje dráhy meteoru. Světlejší čáry ukazují směry od pozorovacích stanic při objevení se meteoru a tmavší čáry, kde byl naposledy viděn. Modrá šipka značí viditelnou dráhu meteoru.

static map
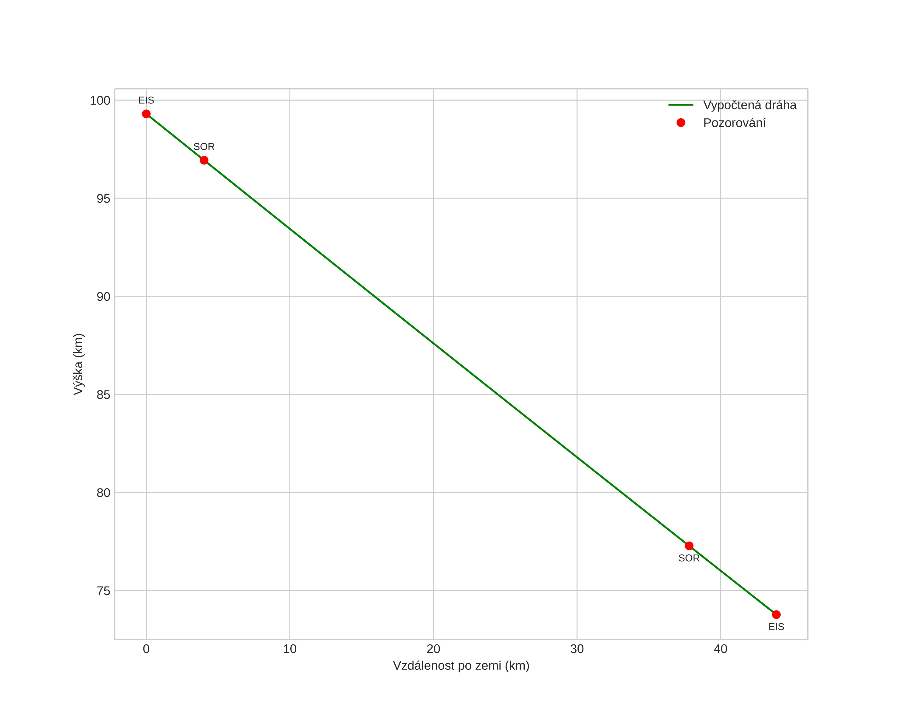
height profile
Atmosférická dráha meteoru:
Počáteční výška: 99,3 km
Konečná výška: 73,8 km
Počáteční poloha: 71,780N 22,779E
Konečná poloha: 72,099N 23,527E
Směr: 35,7°
Sklon: 30,2°
VstupnĂ­ rychlost: 31,7 km/s
Rektascenze radiantu: 04:01 (60,5°)
Deklinace radiantu: 12,7°
MeteorickĂ˝ roj: JiĹľnĂ­ Tauridy
Elementy dráhy meteoroidu:
Vzdálenost v periheliu: 0,407 AU
Excentricita: 0,901
Sklon dráhy: 8,8°
Délka vzestupného uzlu: 53,3°
Argument perihelia: 104,0°
Střední anomálie: 355,2°
Epocha: 2022 NOV 16 01:00:19
orbit plot

NeinteraktivnĂ­ graf

position vs time
speed and acceleration