🇳🇴 🇬🇧 🇩🇪 🇨🇿 🇫🇮

Meteor over Hammerfest 2022-11-16 01:00:19 UTC

KML file

The map shows the bearings for the meteor. The lighter lines show the directions from the observation sites at the meteor's appearance, and the darker lines show where it was last seen. The blue arrow indicates the visible path of the meteor.

static map
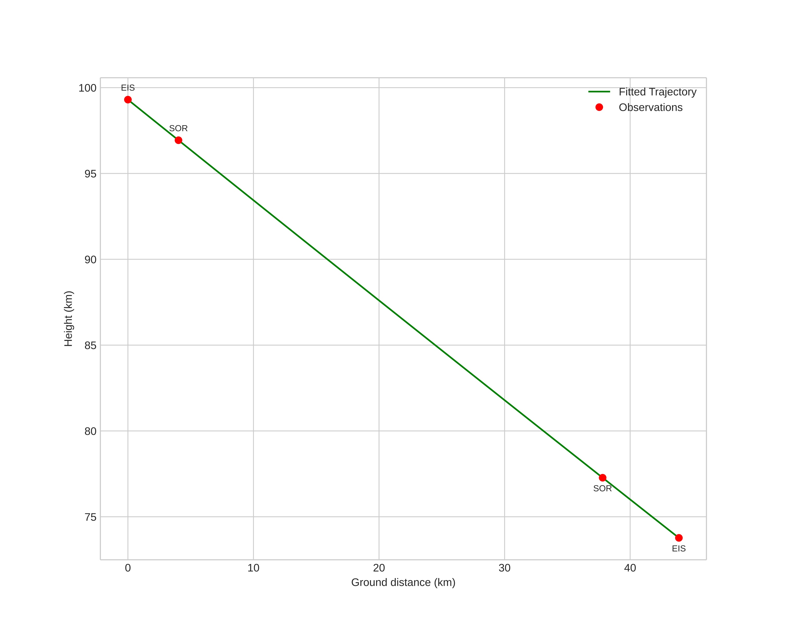
height profile
Meteor's Atmospheric Trajectory:
Start height: 99.3 km
End height: 73.8 km
Start position: 71.780N 22.779E
End position: 72.099N 23.527E
Direction: 35.7°
Inclination angle: 30.2°
Entry speed: 31.7 km/s
Radiant R.A.: 04:01 (60.5°)
Radiant Dec.: 12.7°
Meteor Shower: sørlige tauridene
Meteoroid's Orbital Elements:
Perihelion distance: 0.407 AU
Eccentricity: 0.901
Inclination: 8.8°
Long. of Asc. Node: 53.3°
Argument of Perihelion: 104.0°
Mean Anomaly: 355.2°
Epoch: 2022 NOV 16 01:00:19
orbit plot

Non-interactive plot

position vs time
speed and acceleration

Sorreisa (SOR) cam4


gnomonic
Videos
• Gnomonic
• Gnomonic with coordinates
• Original
• Original with coordinates
Images
• Gnomonic
• Gnomonic with coordinates
• Uncorrected gnomonic with coordinates
• Gnomonic with labels
• Uncorrected gnomonic with labels
• Original
• Original with coordinates
• Original with mask
Text Files
• Detection
• Observation
• Coordinates
• Error Messages
Brightness