🇳🇴 🇬🇧 🇩🇪 🇨🇿 🇫🇮

Meteor, poloha: Storsteinnes 2022-11-16 15:19:16 UTC

Soubor KML  |  InteraktivnĂ­ mapa

Mapa zobrazuje dráhy meteoru. Světlejší čáry ukazují směry od pozorovacích stanic při objevení se meteoru a tmavší čáry, kde byl naposledy viděn. Modrá šipka značí viditelnou dráhu meteoru.

static map
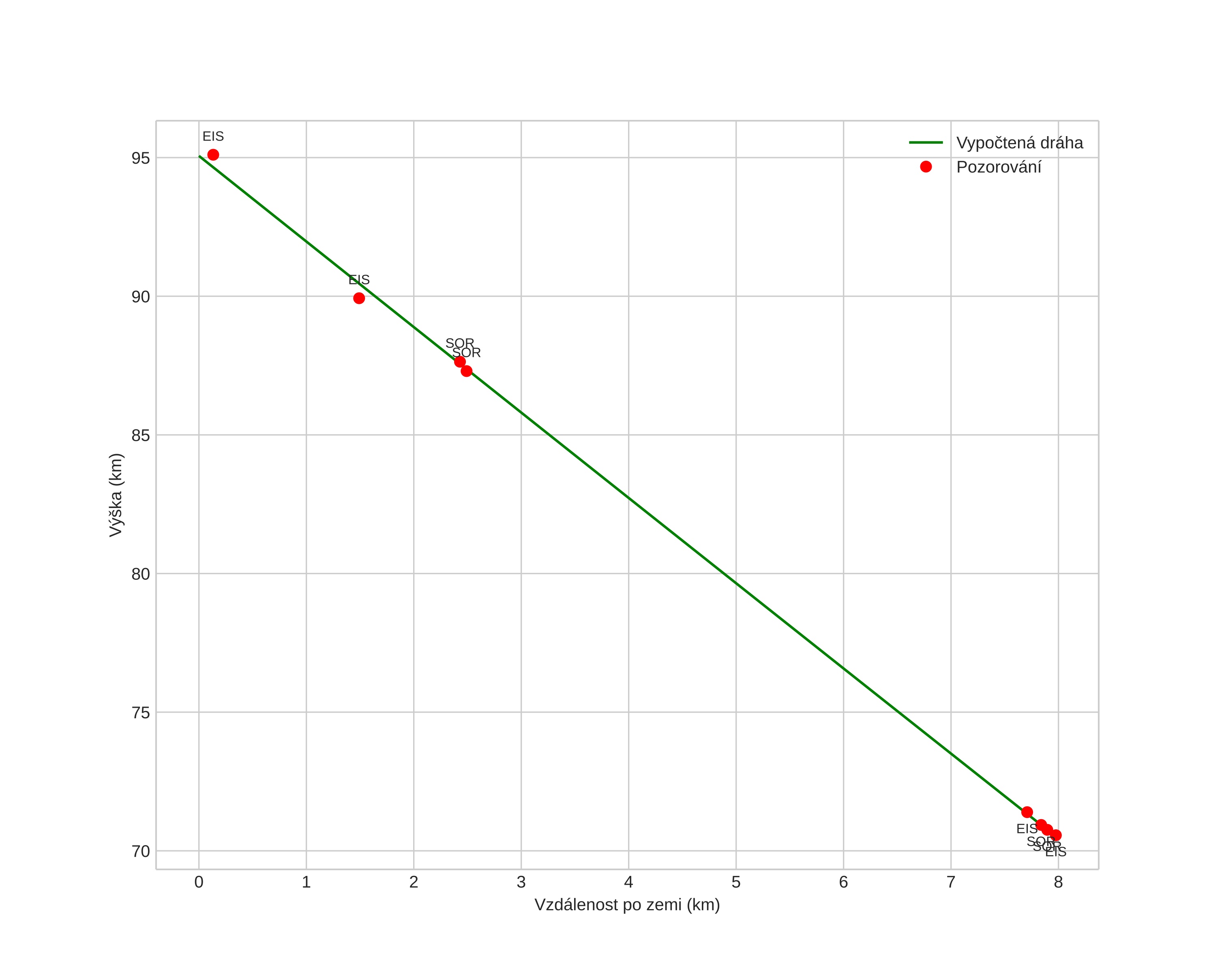
height profile
Atmosférická dráha meteoru:
Počáteční výška: 91,1 km
Konečná výška: 69,4 km
Počáteční poloha: 68,635N 19,770E
Konečná poloha: 68,662N 19,616E
Směr: 296,0°
Sklon: 72,3°
VstupnĂ­ rychlost: 19,5 km/s
Rektascenze radiantu: 22:24 (336,0°)
Deklinace radiantu: 55,6°
MeteorickĂ˝ roj: sporadickĂ˝
Elementy dráhy meteoroidu:
Vzdálenost v periheliu: 0,952 AU
Excentricita: 0,687
Sklon dráhy: 20,8°
Délka vzestupného uzlu: 233,9°
Argument perihelia: 204,7°
Střední anomálie: 356,6°
Epocha: 2022 NOV 16 15:19:16
orbit plot

NeinteraktivnĂ­ graf | InteraktivnĂ­ graf

position vs time
speed and acceleration