🇳🇴 🇬🇧 🇩🇪 🇨🇿 🇫🇮

Meteor Storsteinnesin yllä 2022-11-16 15:19:16 UTC

KML-tiedosto  |  Interaktiivinen kartta

Kartta näyttää meteorin suuntahavainnot. Vaaleammat viivat näyttävät suunnat havaintoasemilta meteorin ilmestyessä, ja tummemmat viivat näyttävät, missä se viimeksi nähtiin. Sininen nuoli näyttää meteorin näkyvän lennon.

static map
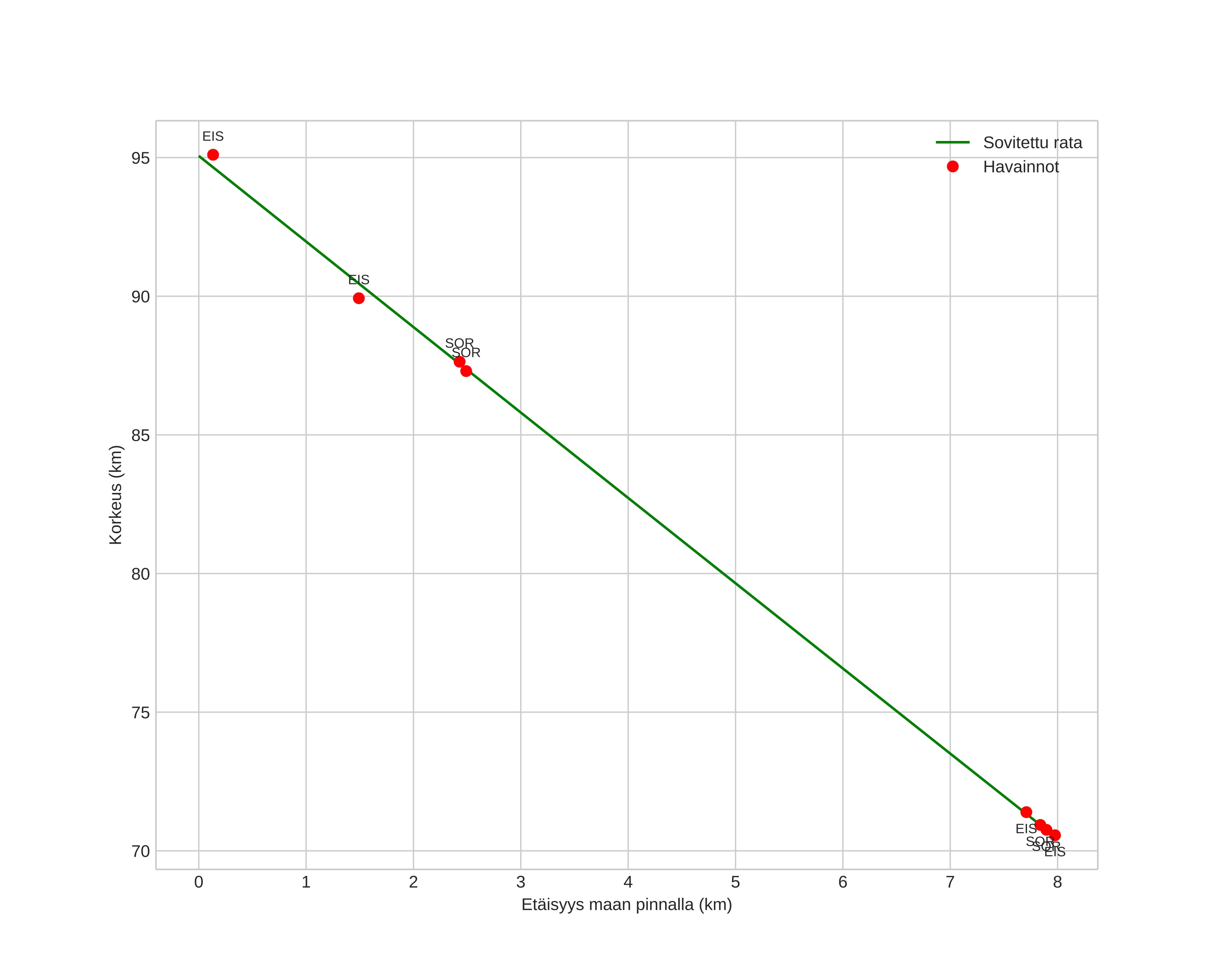
height profile
Meteorin ilmakehärata:
Alkukorkeus: 91,1 km
Loppukorkeus: 69,4 km
Alkupiste: 68,635N 19,770E
Loppupiste: 68,662N 19,616E
Suunta: 296,0°
Kallistuskulma: 72,3°
Tulonopeus: 19,5 km/s
Radiantin R,A,: 22:24 (336,0°)
Radiantin Dekl,: 55,6°
Meteoriparvi: Sporadinen
Meteoroidin rataelementit:
Perihelietäisyys: 0,952 AU
Eksentrisyys: 0,687
Inklinaatio: 20,8°
Nousevan solmun pituus: 233,9°
Perihelin argumentti: 204,7°
Keskianomalia: 356,6°
Epookki: 2022 NOV 16 15:19:16
orbit plot

Ei-interaktiivinen kuvaaja | Interaktiivinen kuvaaja

position vs time
speed and acceleration