🇳🇴 🇬🇧 🇩🇪 🇨🇿 🇫🇮

Meteor, poloha: Gratangen 2022-11-16 15:21:04 UTC

Soubor KML  |  InteraktivnĂ­ mapa

Mapa zobrazuje dráhy meteoru. Světlejší čáry ukazují směry od pozorovacích stanic při objevení se meteoru a tmavší čáry, kde byl naposledy viděn. Modrá šipka značí viditelnou dráhu meteoru.

static map
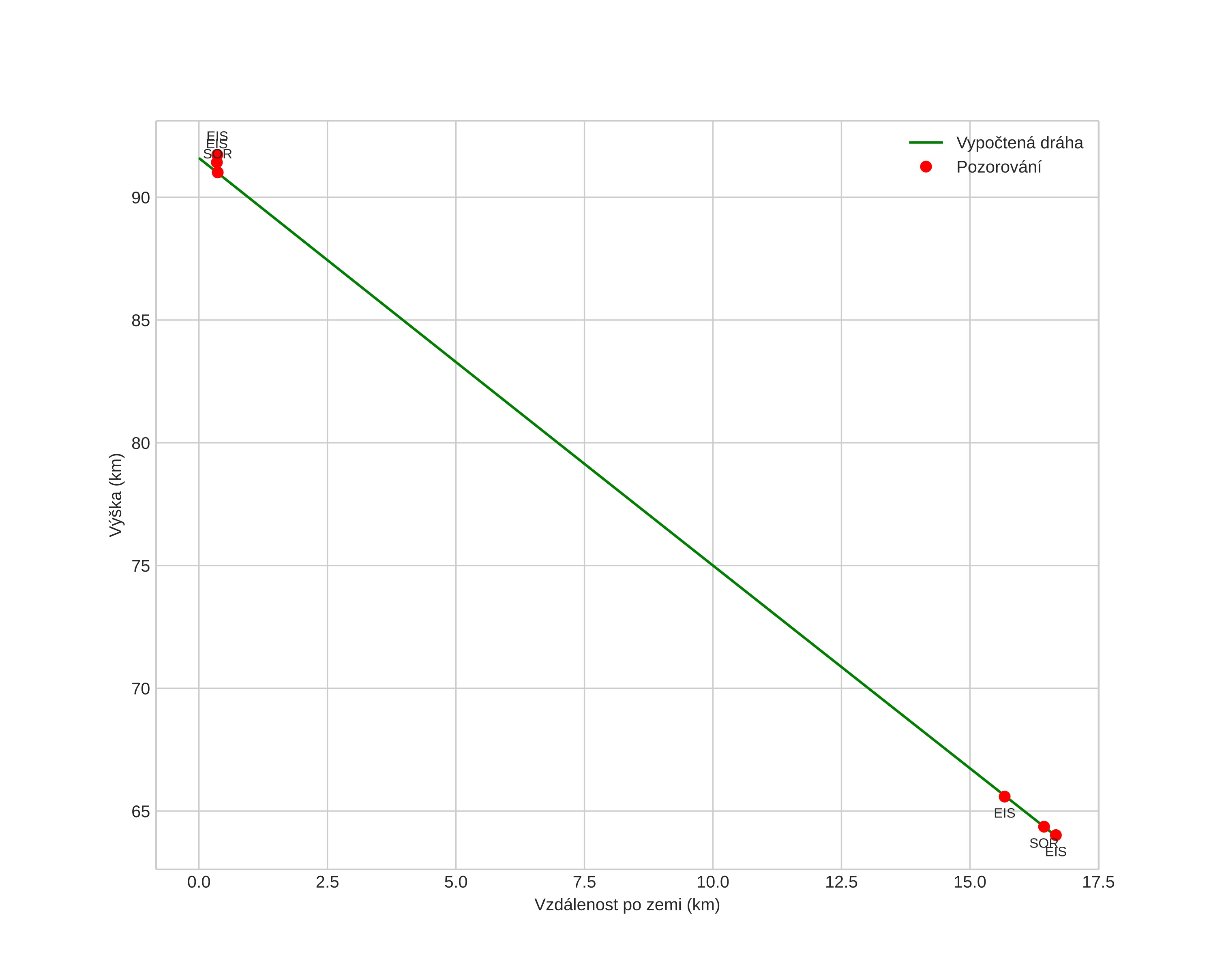
height profile
Atmosférická dráha meteoru:
Počáteční výška: 93,0 km
Konečná výška: 63,8 km
Počáteční poloha: 67,995N 18,620E
Konečná poloha: 67,963N 18,216E
Směr: 258,5°
Sklon: 59,5°
VstupnĂ­ rychlost: 24,9 km/s
Rektascenze radiantu: 00:44 (11,0°)
Deklinace radiantu: 55,6°
MeteorickĂ˝ roj: sporadickĂ˝
Elementy dráhy meteoroidu:
Vzdálenost v periheliu: 0,842 AU
Excentricita: 0,883
Sklon dráhy: 24,6°
Délka vzestupného uzlu: 233,9°
Argument perihelia: 226,9°
Střední anomálie: 358,5°
Epocha: 2022 NOV 16 15:21:04
orbit plot

NeinteraktivnĂ­ graf | InteraktivnĂ­ graf

position vs time
speed and acceleration