🇳🇴 🇬🇧 🇩🇪 🇨🇿 🇫🇮

Meteor Gratangenin yllä 2022-11-16 15:21:04 UTC

KML-tiedosto  |  Interaktiivinen kartta

Kartta näyttää meteorin suuntahavainnot. Vaaleammat viivat näyttävät suunnat havaintoasemilta meteorin ilmestyessä, ja tummemmat viivat näyttävät, missä se viimeksi nähtiin. Sininen nuoli näyttää meteorin näkyvän lennon.

static map
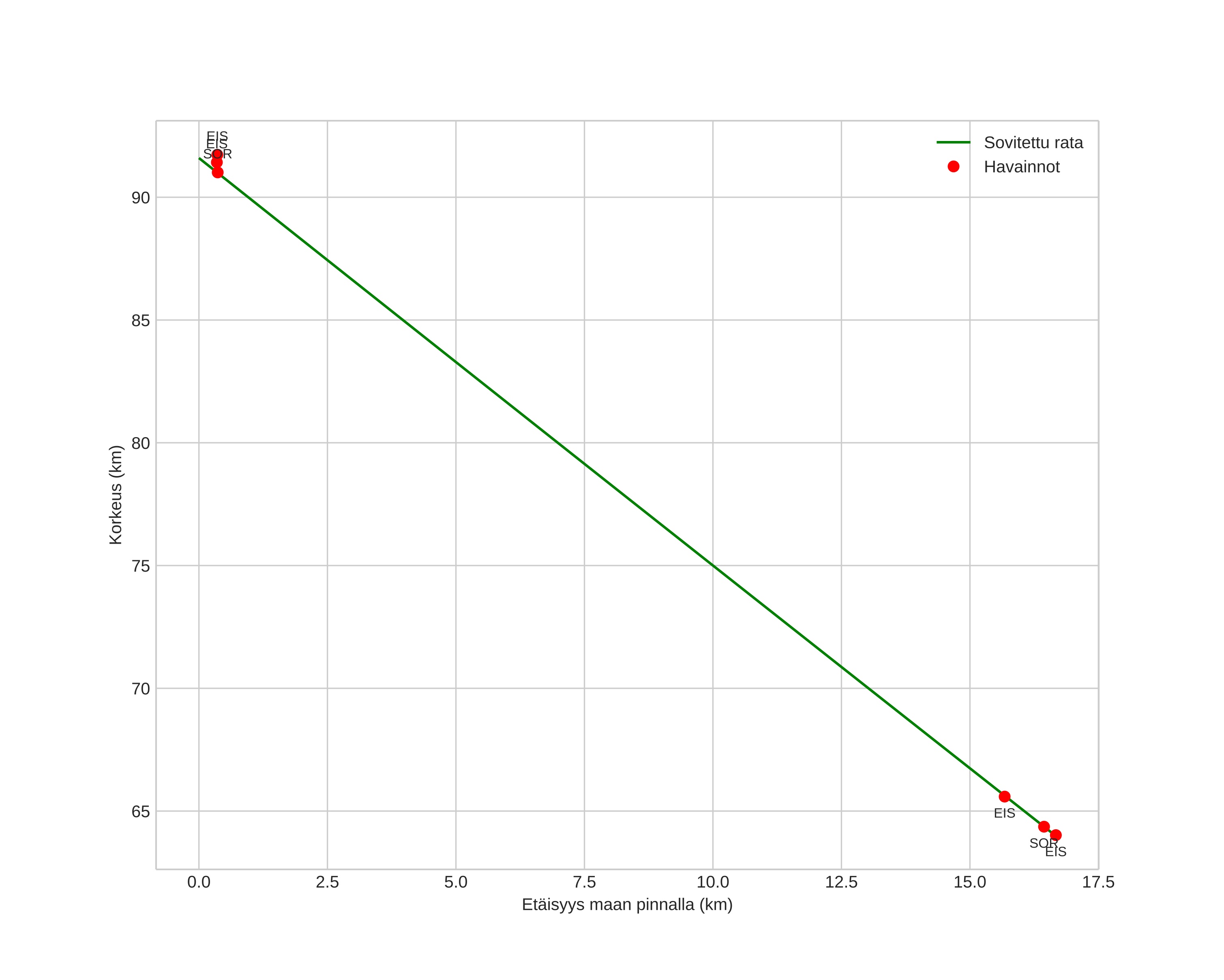
height profile
Meteorin ilmakehärata:
Alkukorkeus: 93,0 km
Loppukorkeus: 63,8 km
Alkupiste: 67,995N 18,620E
Loppupiste: 67,963N 18,216E
Suunta: 258,5°
Kallistuskulma: 59,5°
Tulonopeus: 24,9 km/s
Radiantin R,A,: 00:44 (11,0°)
Radiantin Dekl,: 55,6°
Meteoriparvi: Sporadinen
Meteoroidin rataelementit:
Perihelietäisyys: 0,842 AU
Eksentrisyys: 0,883
Inklinaatio: 24,6°
Nousevan solmun pituus: 233,9°
Perihelin argumentti: 226,9°
Keskianomalia: 358,5°
Epookki: 2022 NOV 16 15:21:04
orbit plot

Ei-interaktiivinen kuvaaja | Interaktiivinen kuvaaja

position vs time
speed and acceleration