🇳🇴 🇬🇧 🇩🇪 🇨🇿 🇫🇮

Meteor, poloha: Sortland 2022-11-16 17:03:19 UTC

Soubor KML  |  InteraktivnĂ­ mapa

Mapa zobrazuje dráhy meteoru. Světlejší čáry ukazují směry od pozorovacích stanic při objevení se meteoru a tmavší čáry, kde byl naposledy viděn. Modrá šipka značí viditelnou dráhu meteoru.

static map
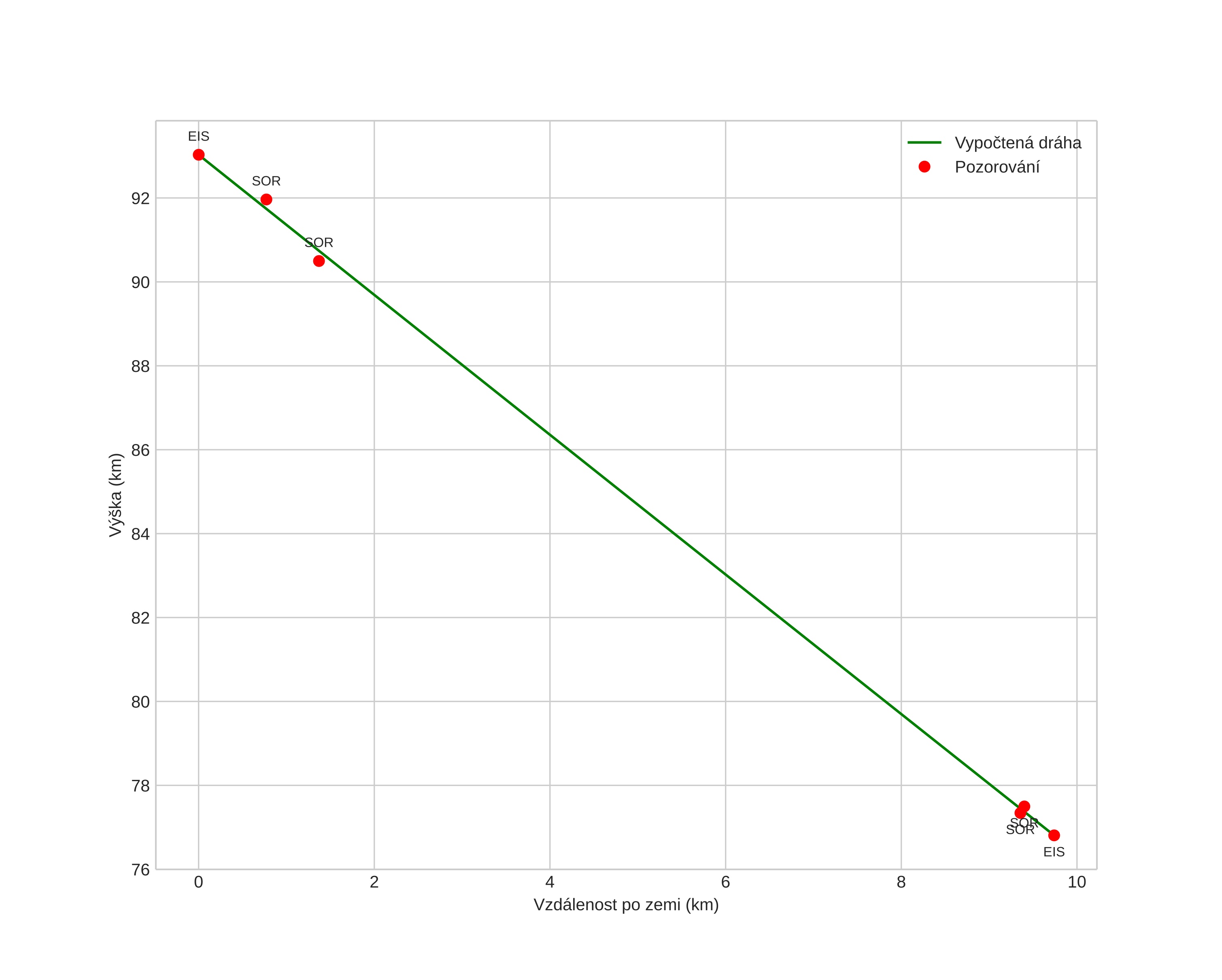
height profile
Atmosférická dráha meteoru:
Počáteční výška: 92,5 km
Konečná výška: 76,4 km
Počáteční poloha: 68,399N 15,446E
Konečná poloha: 68,456N 15,269E
Směr: 311,3°
Sklon: 59,1°
VstupnĂ­ rychlost: 17,8 km/s
Rektascenze radiantu: 23:56 (359,2°)
Deklinace radiantu: 38,7°
MeteorickĂ˝ roj: sporadickĂ˝
Elementy dráhy meteoroidu:
Vzdálenost v periheliu: 0,920 AU
Excentricita: 0,708
Sklon dráhy: 12,2°
Délka vzestupného uzlu: 234,0°
Argument perihelia: 213,8°
Střední anomálie: 355,7°
Epocha: 2022 NOV 16 17:03:19
orbit plot

NeinteraktivnĂ­ graf | InteraktivnĂ­ graf

position vs time
speed and acceleration