🇳🇴 🇬🇧 🇩🇪 🇨🇿 🇫🇮

Meteor Sortlandin yllä 2022-11-16 17:03:19 UTC

KML-tiedosto  |  Interaktiivinen kartta

Kartta näyttää meteorin suuntahavainnot. Vaaleammat viivat näyttävät suunnat havaintoasemilta meteorin ilmestyessä, ja tummemmat viivat näyttävät, missä se viimeksi nähtiin. Sininen nuoli näyttää meteorin näkyvän lennon.

static map
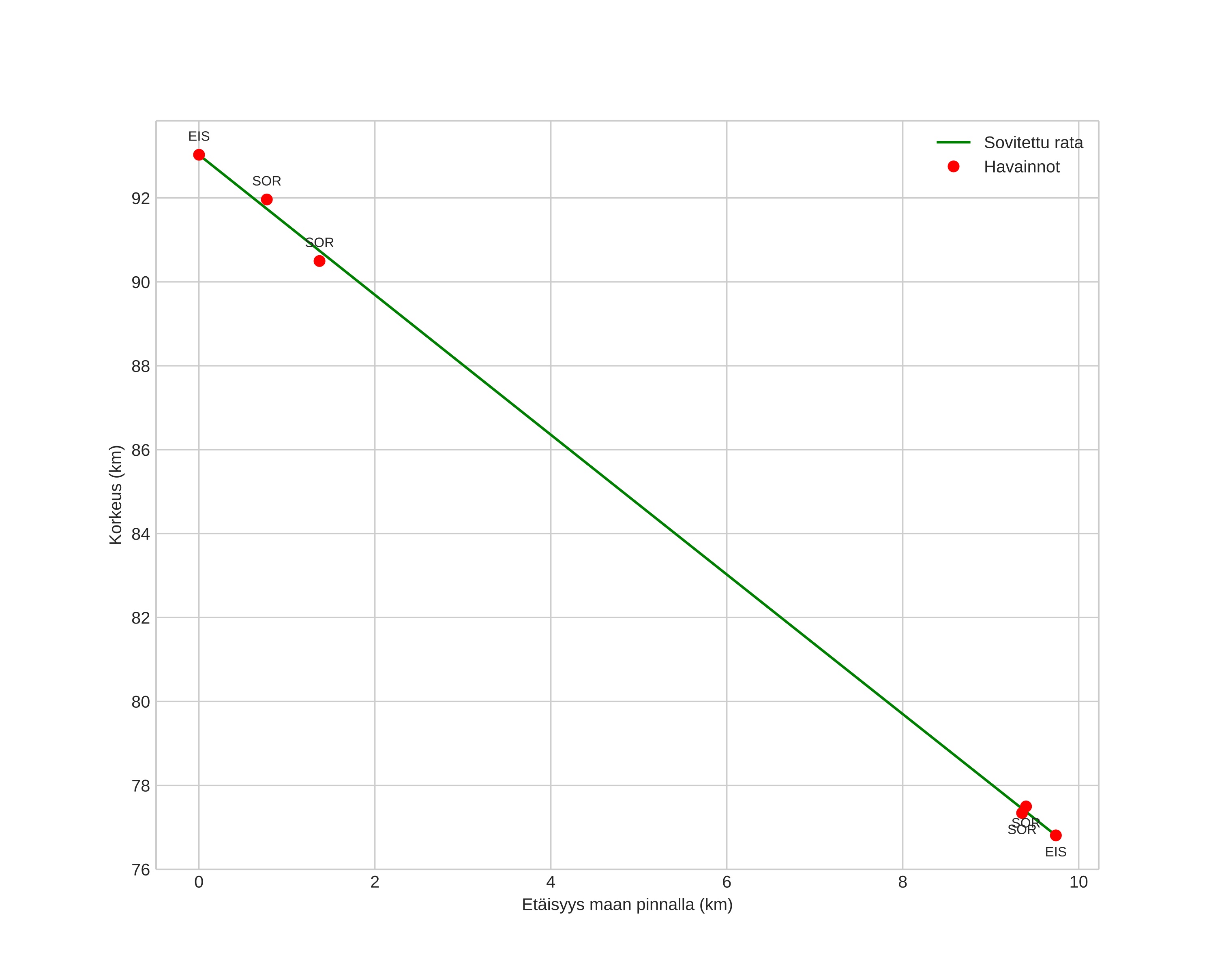
height profile
Meteorin ilmakehärata:
Alkukorkeus: 92,5 km
Loppukorkeus: 76,4 km
Alkupiste: 68,399N 15,446E
Loppupiste: 68,456N 15,269E
Suunta: 311,3°
Kallistuskulma: 59,1°
Tulonopeus: 17,8 km/s
Radiantin R,A,: 23:56 (359,2°)
Radiantin Dekl,: 38,7°
Meteoriparvi: Sporadinen
Meteoroidin rataelementit:
Perihelietäisyys: 0,920 AU
Eksentrisyys: 0,708
Inklinaatio: 12,2°
Nousevan solmun pituus: 234,0°
Perihelin argumentti: 213,8°
Keskianomalia: 355,7°
Epookki: 2022 NOV 16 17:03:19
orbit plot

Ei-interaktiivinen kuvaaja | Interaktiivinen kuvaaja

position vs time
speed and acceleration