🇳🇴 🇬🇧 🇩🇪 🇨🇿 🇫🇮

Meteor, poloha: Bjerkvik 2022-11-16 21:08:21 UTC

Soubor KML  |  InteraktivnĂ­ mapa

Mapa zobrazuje dráhy meteoru. Světlejší čáry ukazují směry od pozorovacích stanic při objevení se meteoru a tmavší čáry, kde byl naposledy viděn. Modrá šipka značí viditelnou dráhu meteoru.

static map
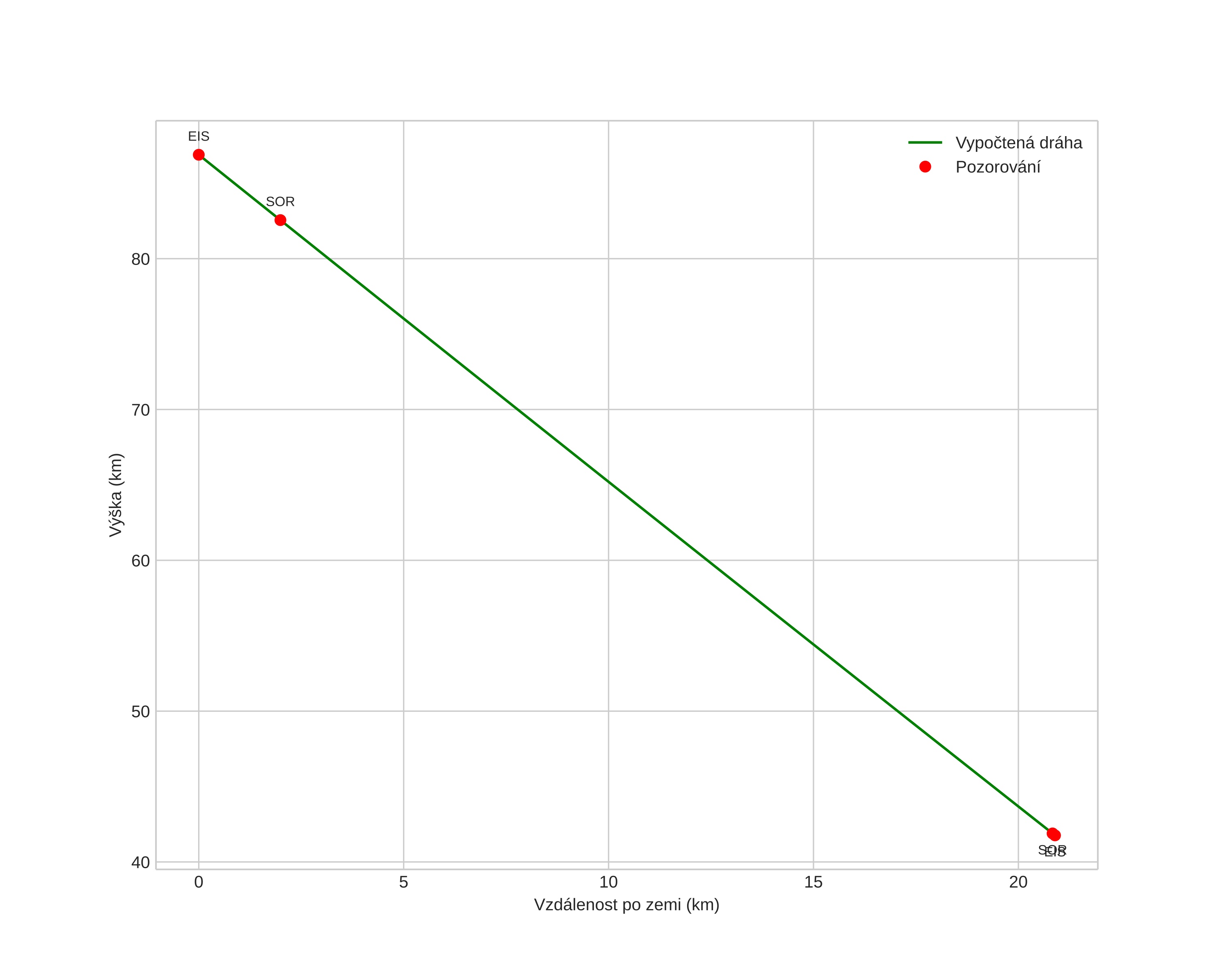
height profile
Atmosférická dráha meteoru:
Počáteční výška: 84,1 km
Konečná výška: 42,8 km
Počáteční poloha: 68,072N 17,702E
Konečná poloha: 67,929N 18,066E
Směr: 136,2°
Sklon: 62,0°
VstupnĂ­ rychlost: 24,3 km/s
Rektascenze radiantu: 19:59 (299,9°)
Deklinace radiantu: 69,5°
MeteorickĂ˝ roj: sporadickĂ˝
Elementy dráhy meteoroidu:
Vzdálenost v periheliu: 0,974 AU
Excentricita: 0,668
Sklon dráhy: 33,6°
Délka vzestupného uzlu: 234,2°
Argument perihelia: 195,7°
Střední anomálie: 357,6°
Epocha: 2022 NOV 16 21:08:21
orbit plot

NeinteraktivnĂ­ graf | InteraktivnĂ­ graf

position vs time
speed and acceleration