🇳🇴 🇬🇧 🇩🇪 🇨🇿 🇫🇮

Meteor Bjerkvikin yllä 2022-11-16 21:08:21 UTC

KML-tiedosto  |  Interaktiivinen kartta

Kartta näyttää meteorin suuntahavainnot. Vaaleammat viivat näyttävät suunnat havaintoasemilta meteorin ilmestyessä, ja tummemmat viivat näyttävät, missä se viimeksi nähtiin. Sininen nuoli näyttää meteorin näkyvän lennon.

static map
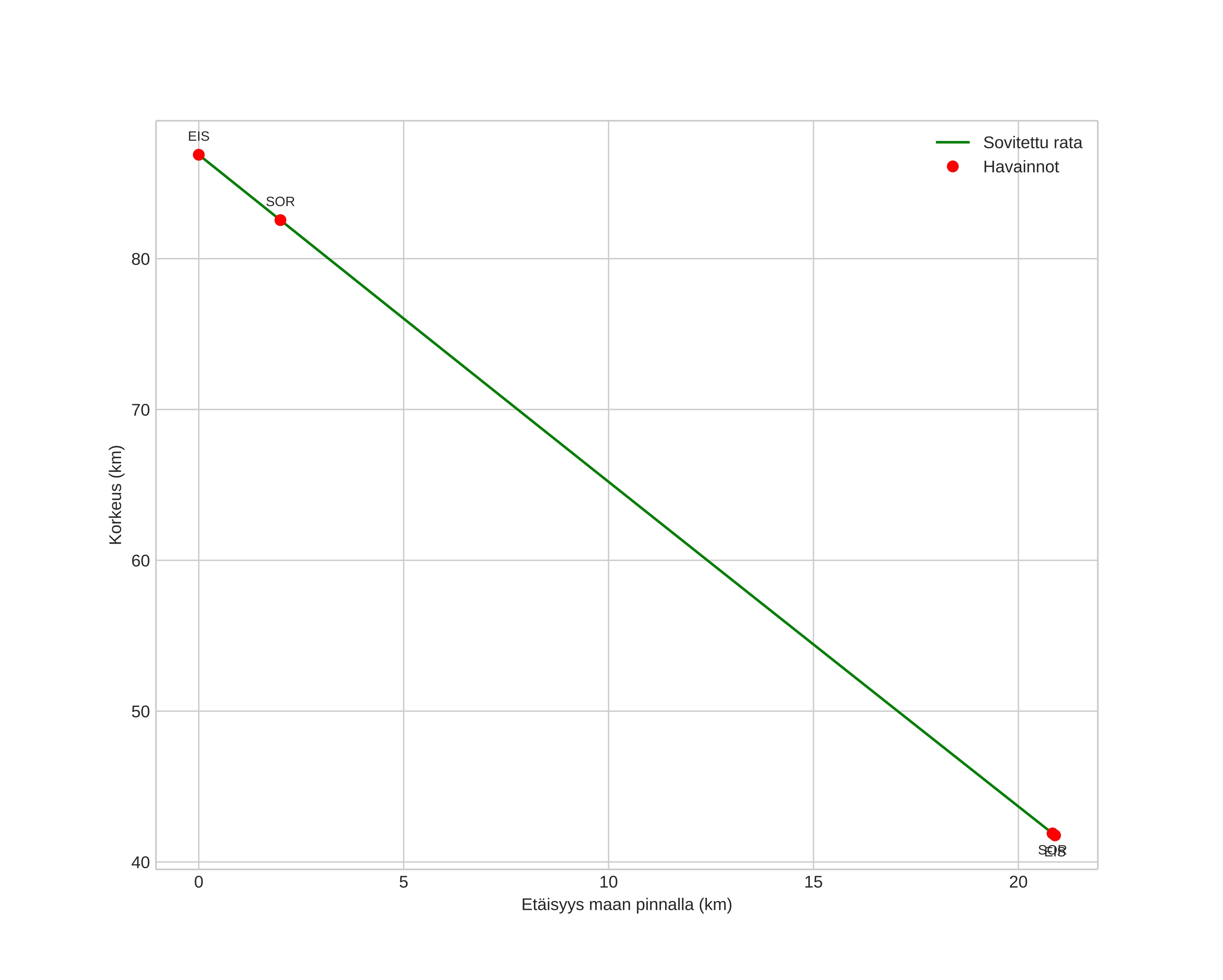
height profile
Meteorin ilmakehärata:
Alkukorkeus: 84,1 km
Loppukorkeus: 42,8 km
Alkupiste: 68,072N 17,702E
Loppupiste: 67,929N 18,066E
Suunta: 136,2°
Kallistuskulma: 62,0°
Tulonopeus: 24,3 km/s
Radiantin R,A,: 19:59 (299,9°)
Radiantin Dekl,: 69,5°
Meteoriparvi: Sporadinen
Meteoroidin rataelementit:
Perihelietäisyys: 0,974 AU
Eksentrisyys: 0,668
Inklinaatio: 33,6°
Nousevan solmun pituus: 234,2°
Perihelin argumentti: 195,7°
Keskianomalia: 357,6°
Epookki: 2022 NOV 16 21:08:21
orbit plot

Ei-interaktiivinen kuvaaja | Interaktiivinen kuvaaja

position vs time
speed and acceleration