🇳🇴 🇬🇧 🇩🇪 🇨🇿 🇫🇮

Meteor, poloha: Kiruna 2022-11-16 21:40:50 UTC

Soubor KML  |  InteraktivnĂ­ mapa

Mapa zobrazuje dráhy meteoru. Světlejší čáry ukazují směry od pozorovacích stanic při objevení se meteoru a tmavší čáry, kde byl naposledy viděn. Modrá šipka značí viditelnou dráhu meteoru.

static map
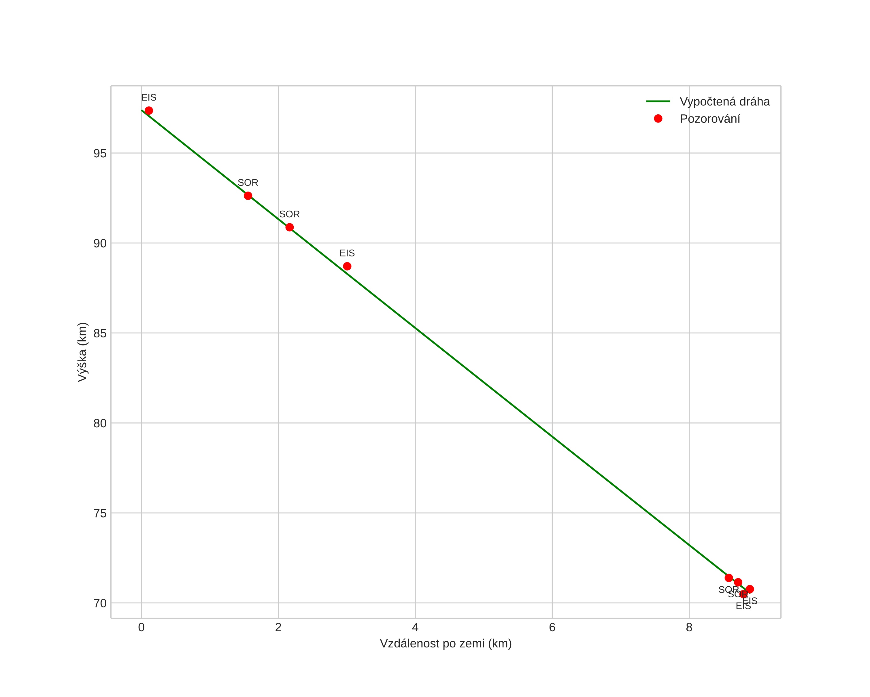
height profile
Atmosférická dráha meteoru:
Počáteční výška: 98,2 km
Konečná výška: 70,4 km
Počáteční poloha: 68,520N 19,580E
Konečná poloha: 68,498N 19,773E
Směr: 107,2°
Sklon: 73,5°
VstupnĂ­ rychlost: 27,2 km/s
Rektascenze radiantu: 23:33 (353,4°)
Deklinace radiantu: 66,6°
MeteorickĂ˝ roj: sporadickĂ˝
Elementy dráhy meteoroidu:
Vzdálenost v periheliu: 0,895 AU
Excentricita: 0,939
Sklon dráhy: 32,7°
Délka vzestupného uzlu: 234,2°
Argument perihelia: 216,5°
Střední anomálie: 359,6°
Epocha: 2022 NOV 16 21:40:50
orbit plot

NeinteraktivnĂ­ graf | InteraktivnĂ­ graf

position vs time
speed and acceleration