🇳🇴 🇬🇧 🇩🇪 🇨🇿 🇫🇮

Meteor Kirunan yllä 2022-11-16 21:40:50 UTC

KML-tiedosto  |  Interaktiivinen kartta

Kartta näyttää meteorin suuntahavainnot. Vaaleammat viivat näyttävät suunnat havaintoasemilta meteorin ilmestyessä, ja tummemmat viivat näyttävät, missä se viimeksi nähtiin. Sininen nuoli näyttää meteorin näkyvän lennon.

static map
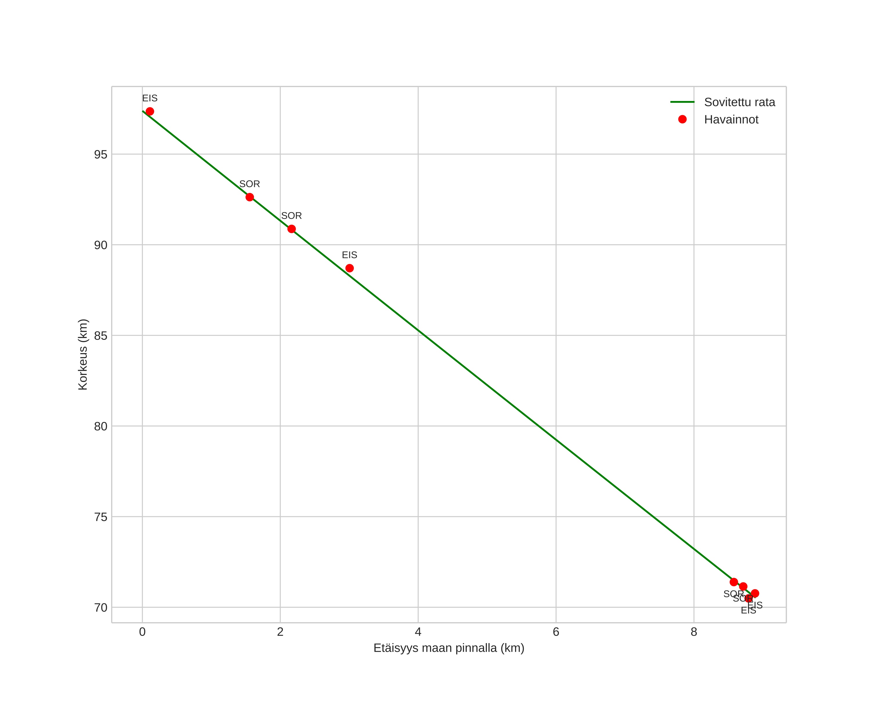
height profile
Meteorin ilmakehärata:
Alkukorkeus: 98,2 km
Loppukorkeus: 70,4 km
Alkupiste: 68,520N 19,580E
Loppupiste: 68,498N 19,773E
Suunta: 107,2°
Kallistuskulma: 73,5°
Tulonopeus: 27,2 km/s
Radiantin R,A,: 23:33 (353,4°)
Radiantin Dekl,: 66,6°
Meteoriparvi: Sporadinen
Meteoroidin rataelementit:
Perihelietäisyys: 0,895 AU
Eksentrisyys: 0,939
Inklinaatio: 32,7°
Nousevan solmun pituus: 234,2°
Perihelin argumentti: 216,5°
Keskianomalia: 359,6°
Epookki: 2022 NOV 16 21:40:50
orbit plot

Ei-interaktiivinen kuvaaja | Interaktiivinen kuvaaja

position vs time
speed and acceleration