🇳🇴 🇬🇧 🇩🇪 🇨🇿 🇫🇮

Meteor, poloha: Kiruna 2022-11-17 00:00:42 UTC

Soubor KML  |  InteraktivnĂ­ mapa

Mapa zobrazuje dráhy meteoru. Světlejší čáry ukazují směry od pozorovacích stanic při objevení se meteoru a tmavší čáry, kde byl naposledy viděn. Modrá šipka značí viditelnou dráhu meteoru.

static map
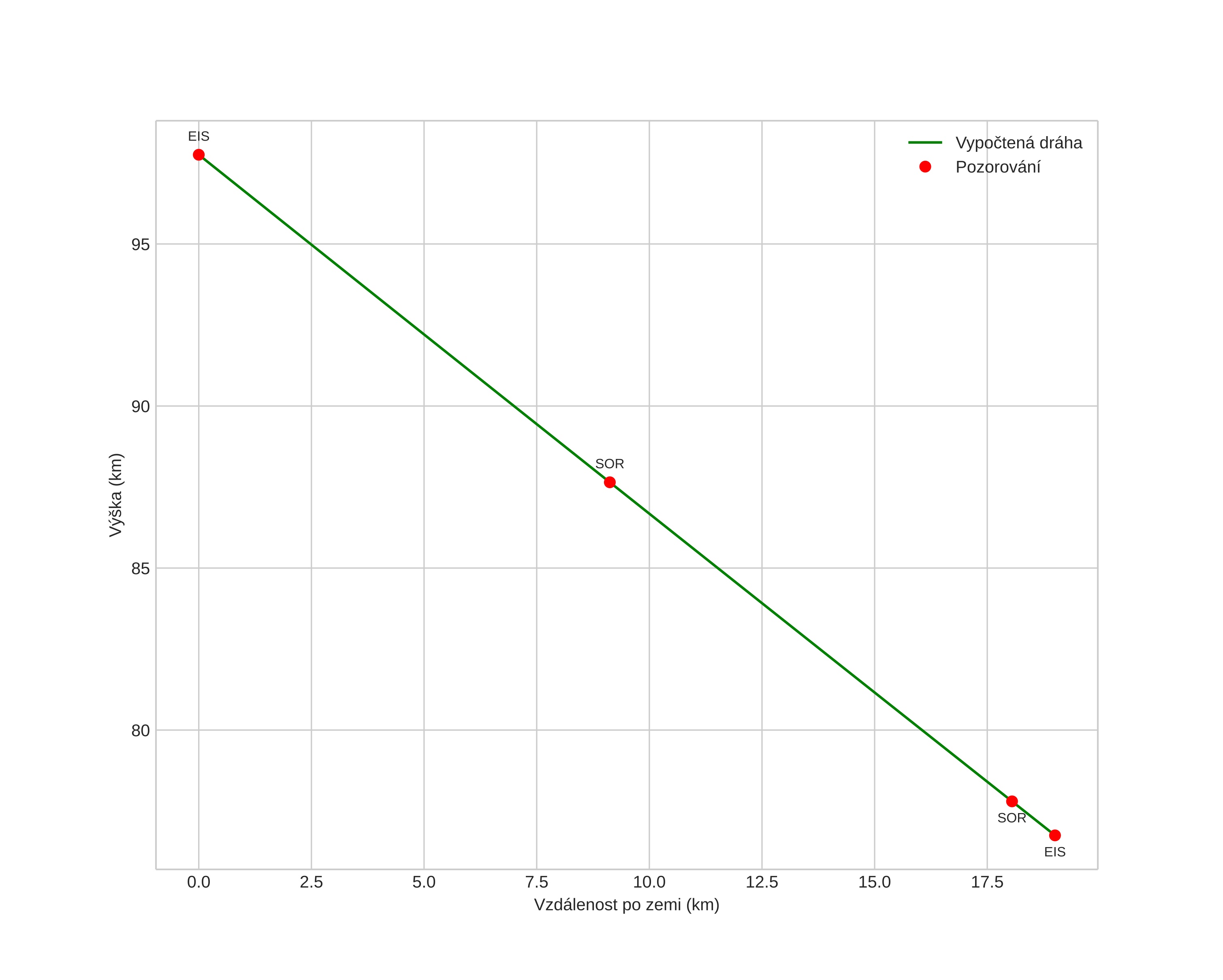
height profile
Atmosférická dráha meteoru:
Počáteční výška: 97,5 km
Konečná výška: 76,5 km
Počáteční poloha: 67,840N 19,422E
Konečná poloha: 68,002N 19,561E
Směr: 17,7°
Sklon: 47,9°
VstupnĂ­ rychlost: 31,0 km/s
Rektascenze radiantu: 04:06 (61,5°)
Deklinace radiantu: 24,8°
MeteorickĂ˝ roj: SevernĂ­ Tauridy
Elementy dráhy meteoroidu:
Vzdálenost v periheliu: 0,376 AU
Excentricita: 0,860
Sklon dráhy: 4,5°
Délka vzestupného uzlu: 234,3°
Argument perihelia: 290,0°
Střední anomálie: 350,7°
Epocha: 2022 NOV 17 00:00:42
orbit plot

NeinteraktivnĂ­ graf | InteraktivnĂ­ graf

position vs time
speed and acceleration