🇳🇴 🇬🇧 🇩🇪 🇨🇿 🇫🇮

Meteor Kirunan yllä 2022-11-17 00:00:42 UTC

KML-tiedosto  |  Interaktiivinen kartta

Kartta näyttää meteorin suuntahavainnot. Vaaleammat viivat näyttävät suunnat havaintoasemilta meteorin ilmestyessä, ja tummemmat viivat näyttävät, missä se viimeksi nähtiin. Sininen nuoli näyttää meteorin näkyvän lennon.

static map
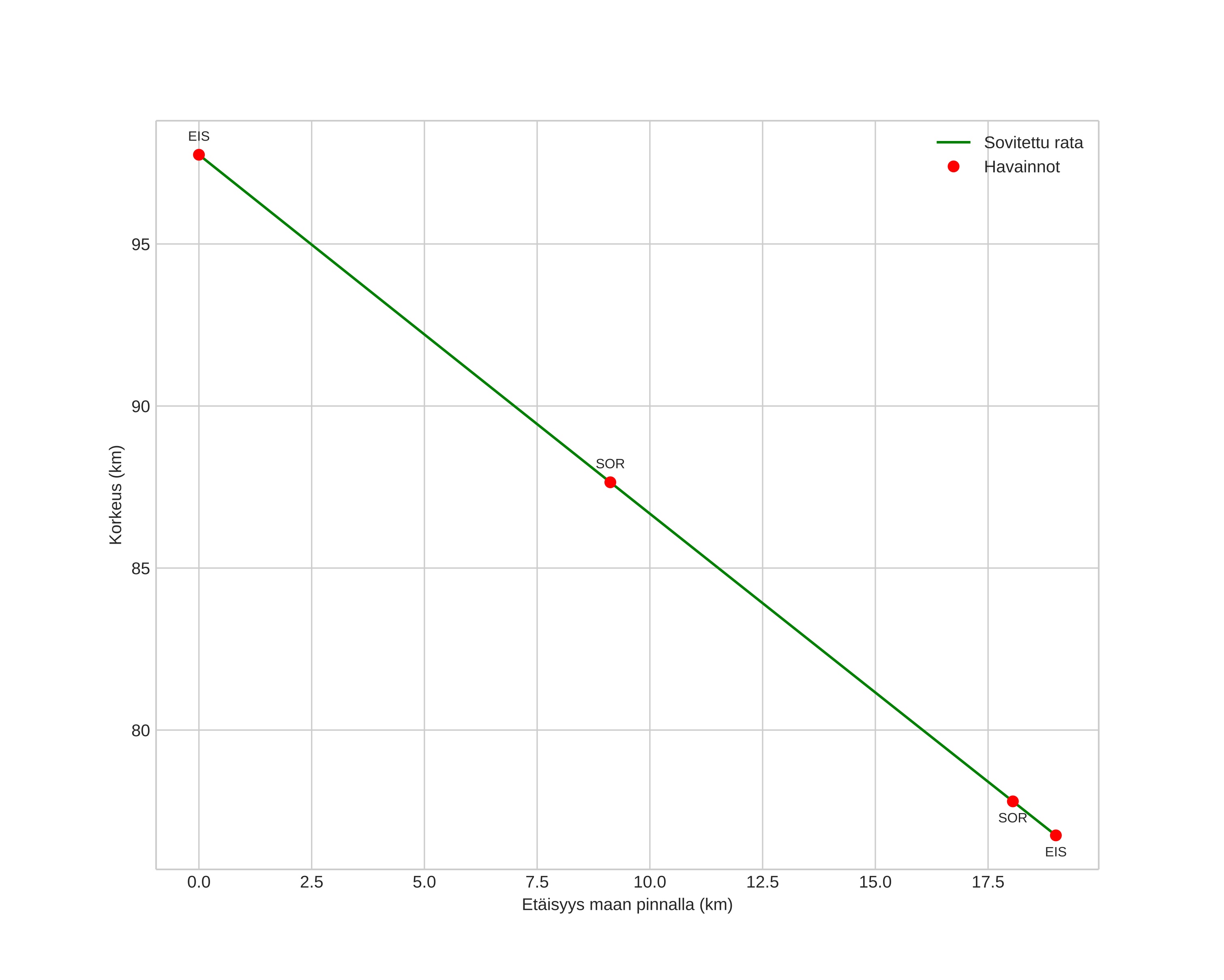
height profile
Meteorin ilmakehärata:
Alkukorkeus: 97,5 km
Loppukorkeus: 76,5 km
Alkupiste: 67,840N 19,422E
Loppupiste: 68,002N 19,561E
Suunta: 17,7°
Kallistuskulma: 47,9°
Tulonopeus: 31,0 km/s
Radiantin R,A,: 04:06 (61,5°)
Radiantin Dekl,: 24,8°
Meteoriparvi: Pohjoiset tauridit
Meteoroidin rataelementit:
Perihelietäisyys: 0,376 AU
Eksentrisyys: 0,860
Inklinaatio: 4,5°
Nousevan solmun pituus: 234,3°
Perihelin argumentti: 290,0°
Keskianomalia: 350,7°
Epookki: 2022 NOV 17 00:00:42
orbit plot

Ei-interaktiivinen kuvaaja | Interaktiivinen kuvaaja

position vs time
speed and acceleration