🇳🇴 🇬🇧 🇩🇪 🇨🇿 🇫🇮

Meteor, poloha: Kárášjohka 2022-11-17 02:33:19 UTC

Soubor KML  |  InteraktivnĂ­ mapa

Mapa zobrazuje dráhy meteoru. Světlejší čáry ukazují směry od pozorovacích stanic při objevení se meteoru a tmavší čáry, kde byl naposledy viděn. Modrá šipka značí viditelnou dráhu meteoru.

static map
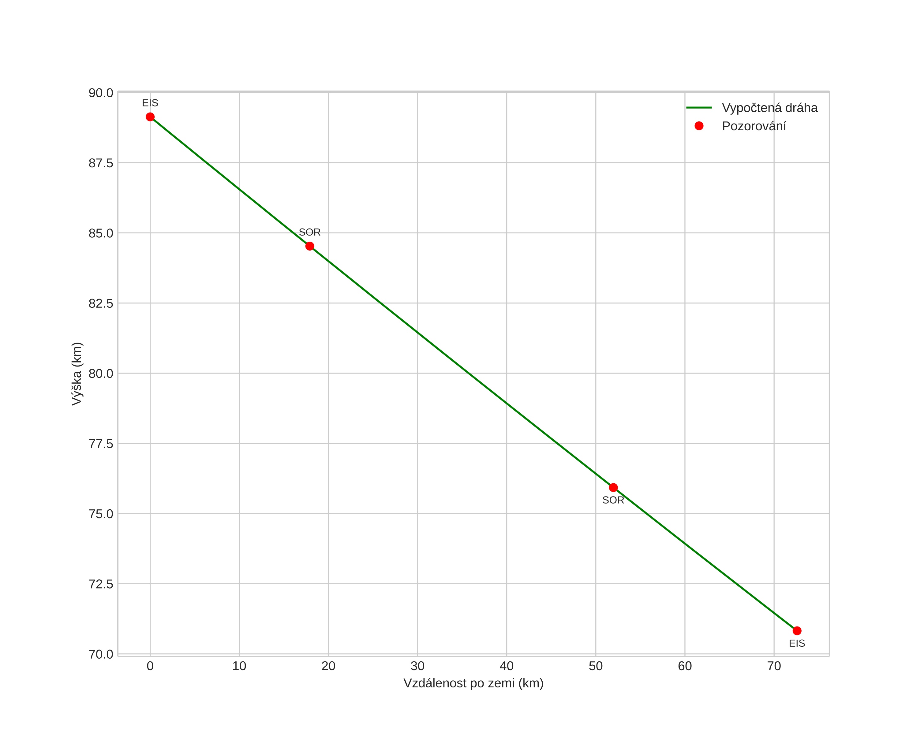
height profile
Atmosférická dráha meteoru:
Počáteční výška: 88,4 km
Konečná výška: 71,2 km
Počáteční poloha: 68,756N 23,939E
Konečná poloha: 68,494N 25,665E
Směr: 111,8°
Sklon: 12,8°
VstupnĂ­ rychlost: 18,4 km/s
Rektascenze radiantu: 00:34 (8,7°)
Deklinace radiantu: 10,0°
MeteorickĂ˝ roj: sporadickĂ˝
Elementy dráhy meteoroidu:
Vzdálenost v periheliu: 0,914 AU
Excentricita: 0,943
Sklon dráhy: 2,1°
Délka vzestupného uzlu: 234,3°
Argument perihelia: 212,4°
Střední anomálie: 359,7°
Epocha: 2022 NOV 17 02:33:19
orbit plot

NeinteraktivnĂ­ graf | InteraktivnĂ­ graf

position vs time
speed and acceleration