🇳🇴 🇬🇧 🇩🇪 🇨🇿 🇫🇮

Meteor Kárášjohkan yllä 2022-11-17 02:33:19 UTC

KML-tiedosto  |  Interaktiivinen kartta

Kartta näyttää meteorin suuntahavainnot. Vaaleammat viivat näyttävät suunnat havaintoasemilta meteorin ilmestyessä, ja tummemmat viivat näyttävät, missä se viimeksi nähtiin. Sininen nuoli näyttää meteorin näkyvän lennon.

static map
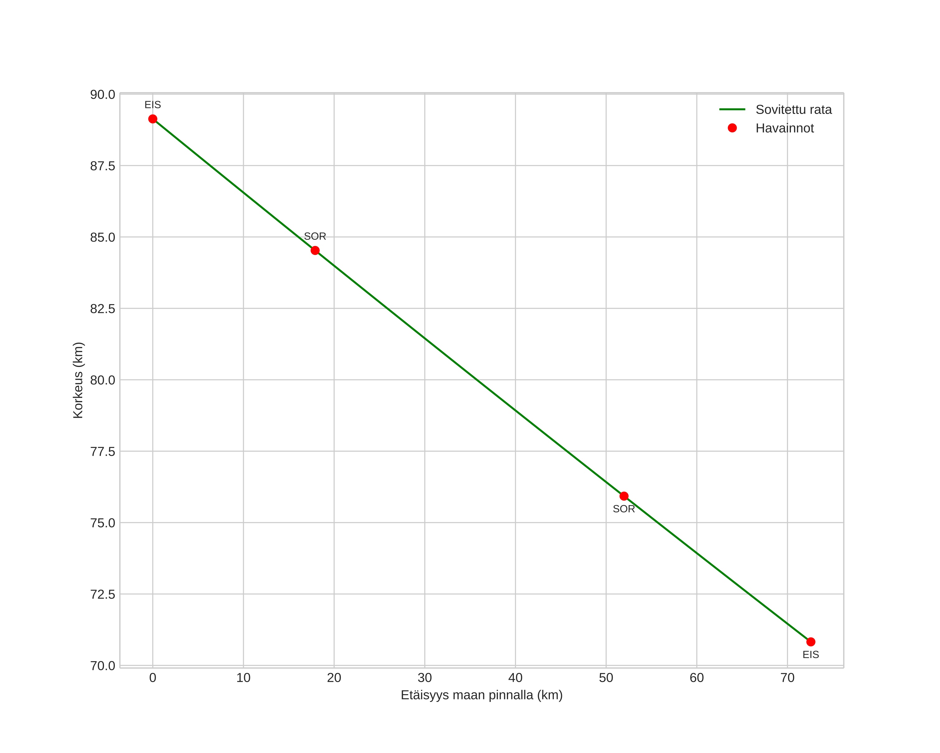
height profile
Meteorin ilmakehärata:
Alkukorkeus: 88,4 km
Loppukorkeus: 71,2 km
Alkupiste: 68,756N 23,939E
Loppupiste: 68,494N 25,665E
Suunta: 111,8°
Kallistuskulma: 12,8°
Tulonopeus: 18,4 km/s
Radiantin R,A,: 00:34 (8,7°)
Radiantin Dekl,: 10,0°
Meteoriparvi: Sporadinen
Meteoroidin rataelementit:
Perihelietäisyys: 0,914 AU
Eksentrisyys: 0,943
Inklinaatio: 2,1°
Nousevan solmun pituus: 234,3°
Perihelin argumentti: 212,4°
Keskianomalia: 359,7°
Epookki: 2022 NOV 17 02:33:19
orbit plot

Ei-interaktiivinen kuvaaja | Interaktiivinen kuvaaja

position vs time
speed and acceleration