🇳🇴 🇬🇧 🇩🇪 🇨🇿 🇫🇮

Meteor, poloha: Setermoen 2022-11-17 03:44:18 UTC

Soubor KML  |  InteraktivnĂ­ mapa

Mapa zobrazuje dráhy meteoru. Světlejší čáry ukazují směry od pozorovacích stanic při objevení se meteoru a tmavší čáry, kde byl naposledy viděn. Modrá šipka značí viditelnou dráhu meteoru.

static map
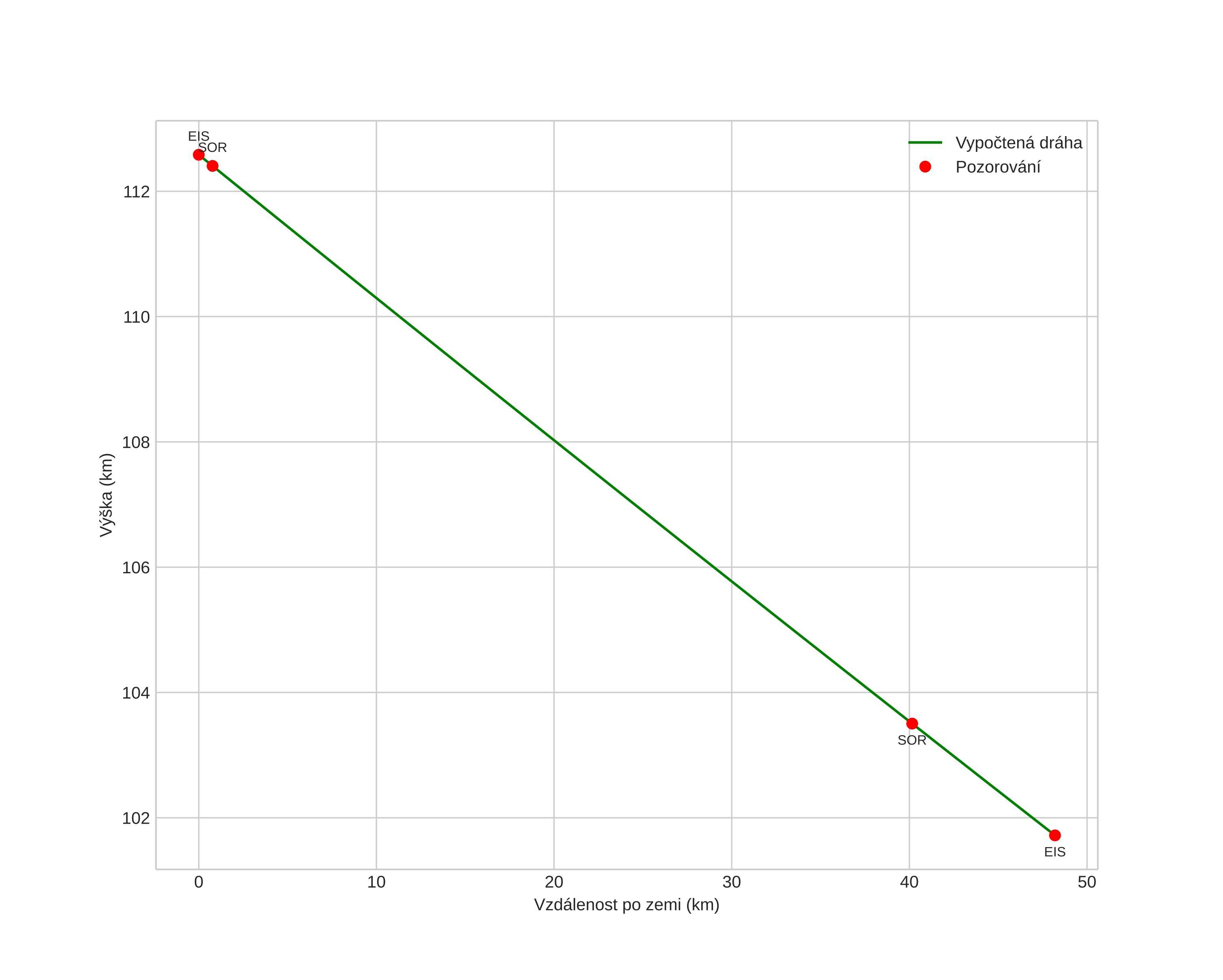
height profile
Atmosférická dráha meteoru:
Počáteční výška: 109,5 km
Konečná výška: 100,0 km
Počáteční poloha: 68,189N 19,160E
Konečná poloha: 68,495N 18,391E
Směr: 317,5°
Sklon: 11,6°
VstupnĂ­ rychlost: 72,9 km/s
Rektascenze radiantu: 11:30 (172,7°)
Deklinace radiantu: -5,1°
MeteorickĂ˝ roj: sporadickĂ˝
Elementy dráhy meteoroidu:
Vzdálenost v periheliu: 0,500 AU
Excentricita: 1,322
Sklon dráhy: 163,0°
Délka vzestupného uzlu: 54,4°
Argument perihelia: 277,5°
Střední anomálie: 16,5°
Epocha: 2022 NOV 17 03:44:18
orbit plot

NeinteraktivnĂ­ graf | InteraktivnĂ­ graf

position vs time
speed and acceleration