🇳🇴 🇬🇧 🇩🇪 🇨🇿 🇫🇮

Meteor Setermoenin yllä 2022-11-17 03:44:18 UTC

KML-tiedosto  |  Interaktiivinen kartta

Kartta näyttää meteorin suuntahavainnot. Vaaleammat viivat näyttävät suunnat havaintoasemilta meteorin ilmestyessä, ja tummemmat viivat näyttävät, missä se viimeksi nähtiin. Sininen nuoli näyttää meteorin näkyvän lennon.

static map
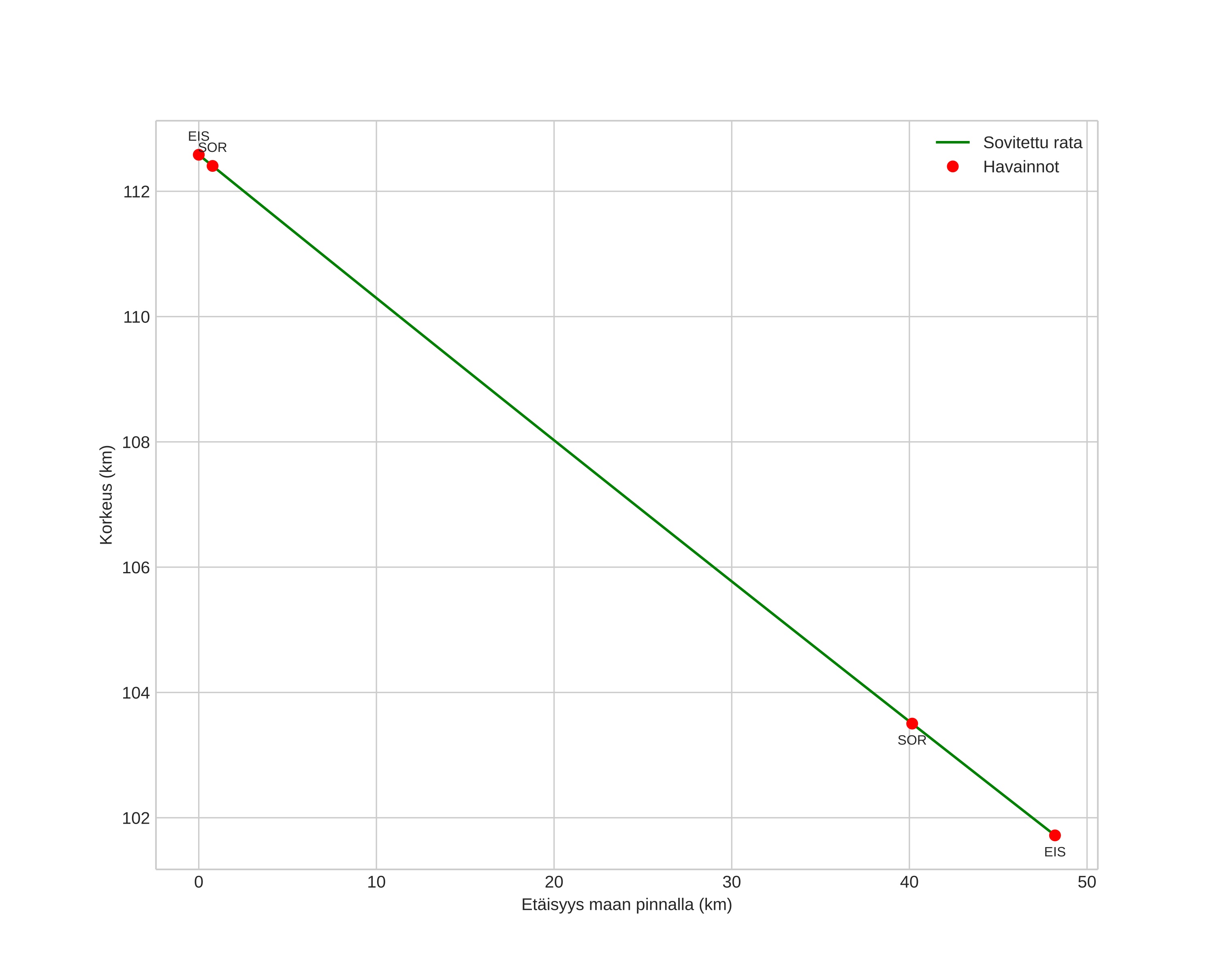
height profile
Meteorin ilmakehärata:
Alkukorkeus: 109,5 km
Loppukorkeus: 100,0 km
Alkupiste: 68,189N 19,160E
Loppupiste: 68,495N 18,391E
Suunta: 317,5°
Kallistuskulma: 11,6°
Tulonopeus: 72,9 km/s
Radiantin R,A,: 11:30 (172,7°)
Radiantin Dekl,: -5,1°
Meteoriparvi: Sporadinen
Meteoroidin rataelementit:
Perihelietäisyys: 0,500 AU
Eksentrisyys: 1,322
Inklinaatio: 163,0°
Nousevan solmun pituus: 54,4°
Perihelin argumentti: 277,5°
Keskianomalia: 16,5°
Epookki: 2022 NOV 17 03:44:18
orbit plot

Ei-interaktiivinen kuvaaja | Interaktiivinen kuvaaja

position vs time
speed and acceleration