🇳🇴 🇬🇧 🇩🇪 🇨🇿 🇫🇮

Meteor, poloha: Setermoen 2022-11-17 05:44:38 UTC

Soubor KML  |  InteraktivnĂ­ mapa

Mapa zobrazuje dráhy meteoru. Světlejší čáry ukazují směry od pozorovacích stanic při objevení se meteoru a tmavší čáry, kde byl naposledy viděn. Modrá šipka značí viditelnou dráhu meteoru.

static map
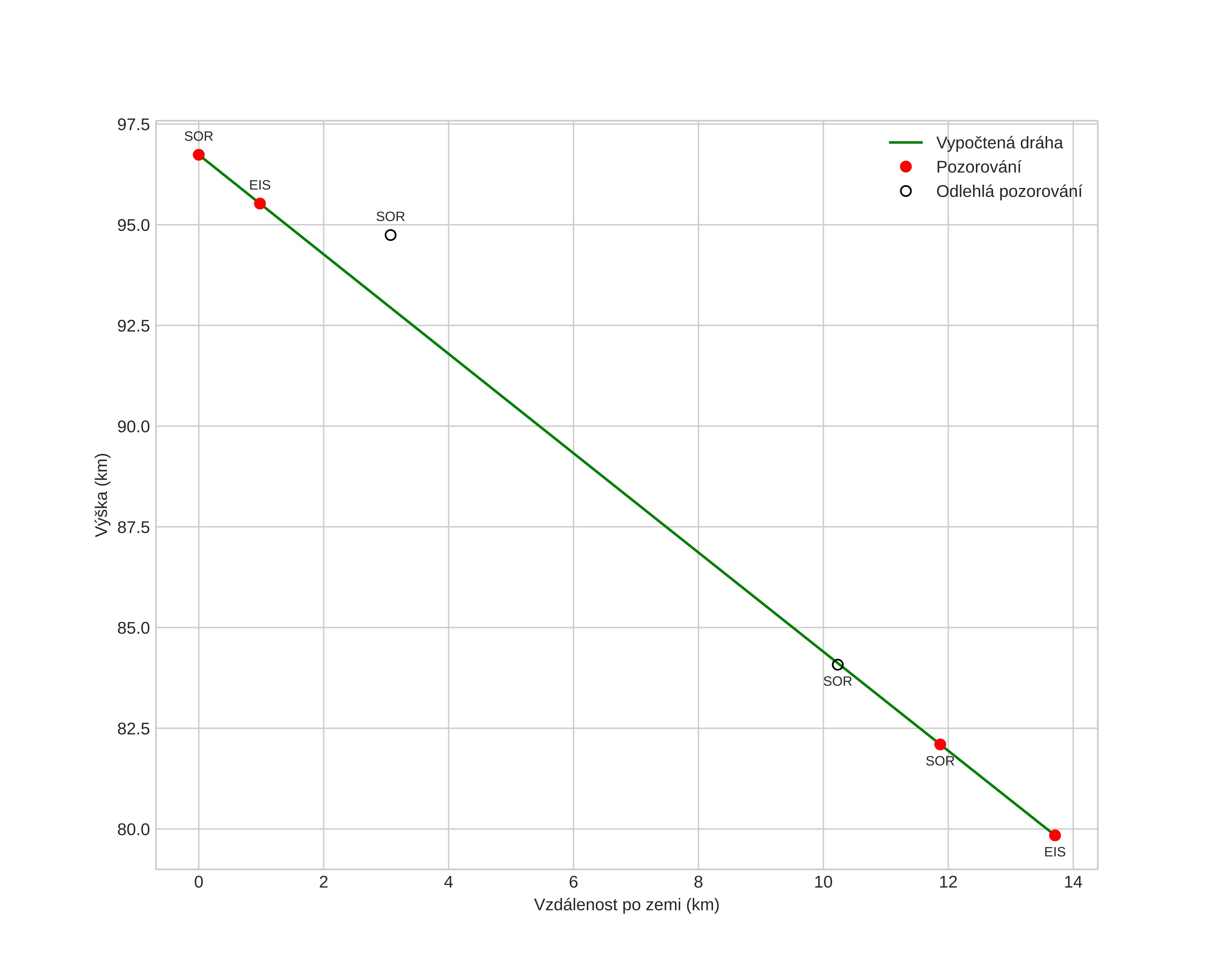
height profile
Atmosférická dráha meteoru:
Počáteční výška: 90,6 km
Konečná výška: 75,7 km
Počáteční poloha: 68,594N 18,376E
Konečná poloha: 68,452N 18,351E
Směr: 183,8°
Sklon: 43,3°
VstupnĂ­ rychlost: 25,1 km/s
Rektascenze radiantu: 22:21 (335,3°)
Deklinace radiantu: 61,9°
MeteorickĂ˝ roj: sporadickĂ˝
Elementy dráhy meteoroidu:
Vzdálenost v periheliu: 0,942 AU
Excentricita: 0,965
Sklon dráhy: 29,2°
Délka vzestupného uzlu: 234,5°
Argument perihelia: 205,5°
Střední anomálie: 359,9°
Epocha: 2022 NOV 17 05:44:38
orbit plot

NeinteraktivnĂ­ graf | InteraktivnĂ­ graf

position vs time
speed and acceleration