🇳🇴 🇬🇧 🇩🇪 🇨🇿 🇫🇮

Meteor Setermoenin yllä 2022-11-17 05:44:38 UTC

KML-tiedosto  |  Interaktiivinen kartta

Kartta näyttää meteorin suuntahavainnot. Vaaleammat viivat näyttävät suunnat havaintoasemilta meteorin ilmestyessä, ja tummemmat viivat näyttävät, missä se viimeksi nähtiin. Sininen nuoli näyttää meteorin näkyvän lennon.

static map
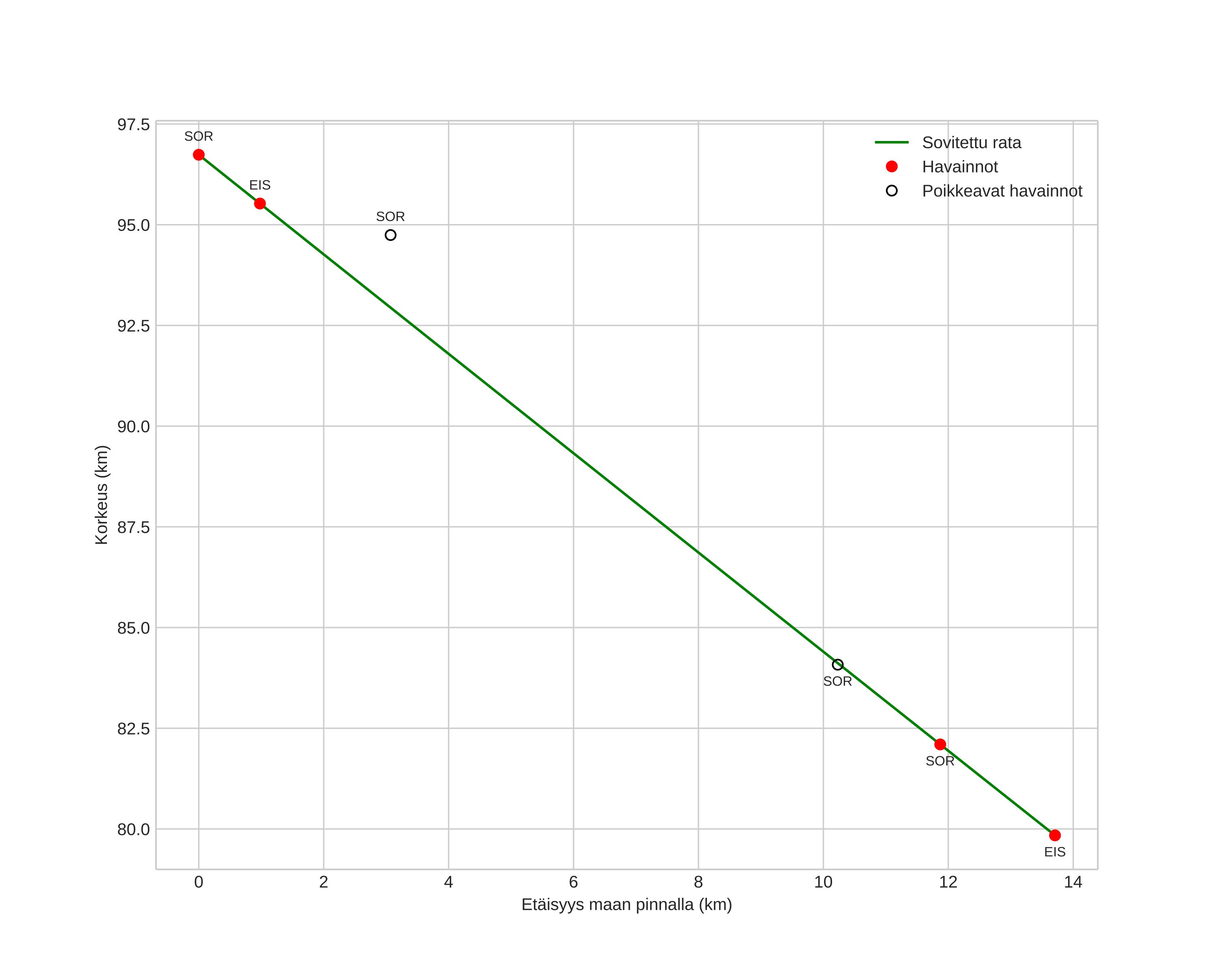
height profile
Meteorin ilmakehärata:
Alkukorkeus: 90,6 km
Loppukorkeus: 75,7 km
Alkupiste: 68,594N 18,376E
Loppupiste: 68,452N 18,351E
Suunta: 183,8°
Kallistuskulma: 43,3°
Tulonopeus: 25,1 km/s
Radiantin R,A,: 22:21 (335,3°)
Radiantin Dekl,: 61,9°
Meteoriparvi: Sporadinen
Meteoroidin rataelementit:
Perihelietäisyys: 0,942 AU
Eksentrisyys: 0,965
Inklinaatio: 29,2°
Nousevan solmun pituus: 234,5°
Perihelin argumentti: 205,5°
Keskianomalia: 359,9°
Epookki: 2022 NOV 17 05:44:38
orbit plot

Ei-interaktiivinen kuvaaja | Interaktiivinen kuvaaja

position vs time
speed and acceleration