🇳🇴 🇬🇧 🇩🇪 🇨🇿 🇫🇮

Meteor, poloha: Alvdal 2022-11-17 16:29:03 UTC

Soubor KML  |  InteraktivnĂ­ mapa

Mapa zobrazuje dráhy meteoru. Světlejší čáry ukazují směry od pozorovacích stanic při objevení se meteoru a tmavší čáry, kde byl naposledy viděn. Modrá šipka značí viditelnou dráhu meteoru.

static map
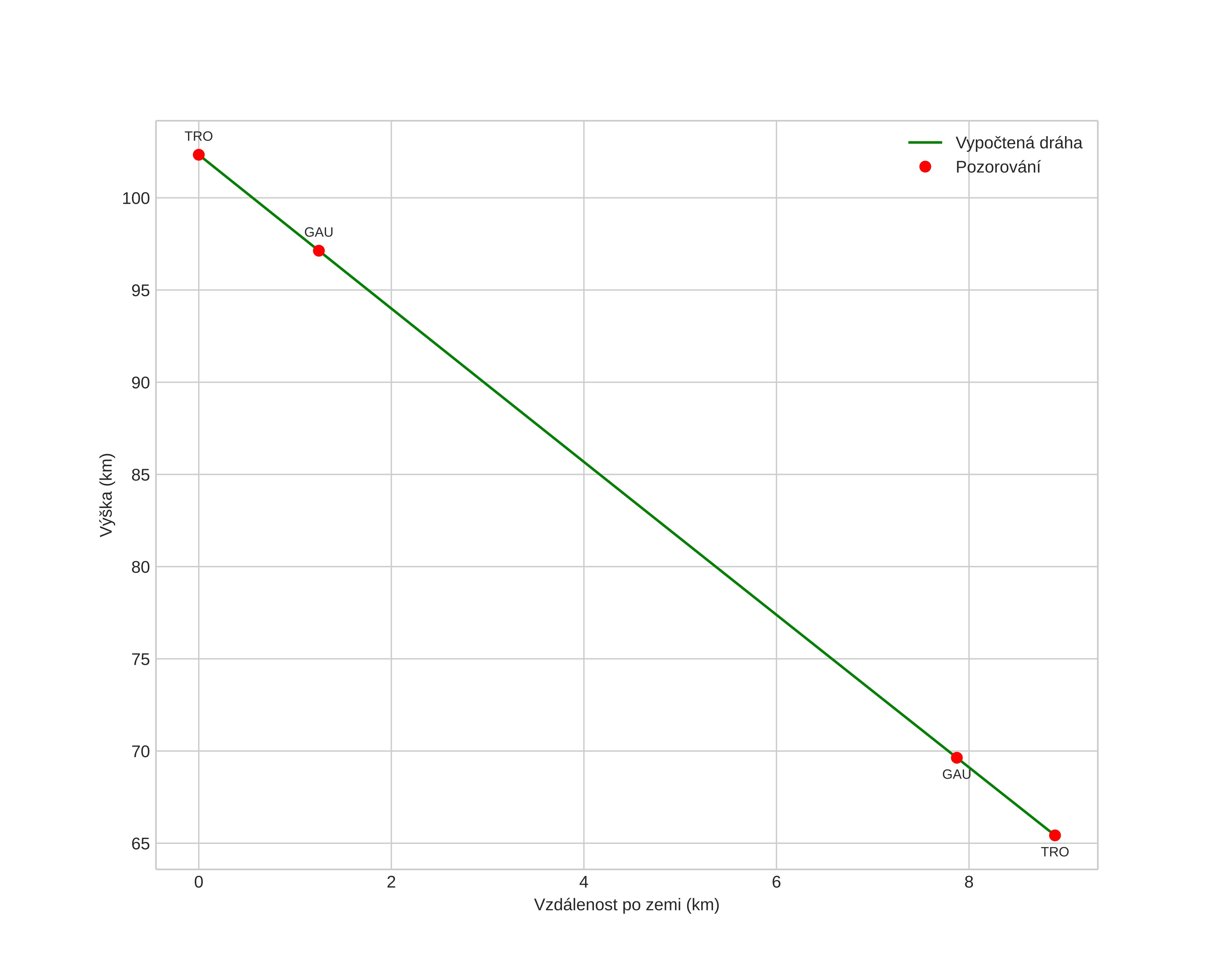
height profile
Atmosférická dráha meteoru:
Počáteční výška: 102,4 km
Konečná výška: 65,4 km
Počáteční poloha: 62,414N 10,259E
Konečná poloha: 62,363N 10,392E
Směr: 129,8°
Sklon: 76,5°
VstupnĂ­ rychlost: 26,3 km/s
Rektascenze radiantu: 18:47 (281,9°)
Deklinace radiantu: 68,3°
MeteorickĂ˝ roj: sporadickĂ˝
Elementy dráhy meteoroidu:
Vzdálenost v periheliu: 0,985 AU
Excentricita: 0,713
Sklon dráhy: 37,4°
Délka vzestupného uzlu: 235,0°
Argument perihelia: 187,5°
Střední anomálie: 359,1°
Epocha: 2022 NOV 17 16:29:03
orbit plot

NeinteraktivnĂ­ graf | InteraktivnĂ­ graf

position vs time
speed and acceleration