🇳🇴 🇬🇧 🇩🇪 🇨🇿 🇫🇮

Meteor Alvdalin yllä 2022-11-17 16:29:03 UTC

KML-tiedosto  |  Interaktiivinen kartta

Kartta näyttää meteorin suuntahavainnot. Vaaleammat viivat näyttävät suunnat havaintoasemilta meteorin ilmestyessä, ja tummemmat viivat näyttävät, missä se viimeksi nähtiin. Sininen nuoli näyttää meteorin näkyvän lennon.

static map
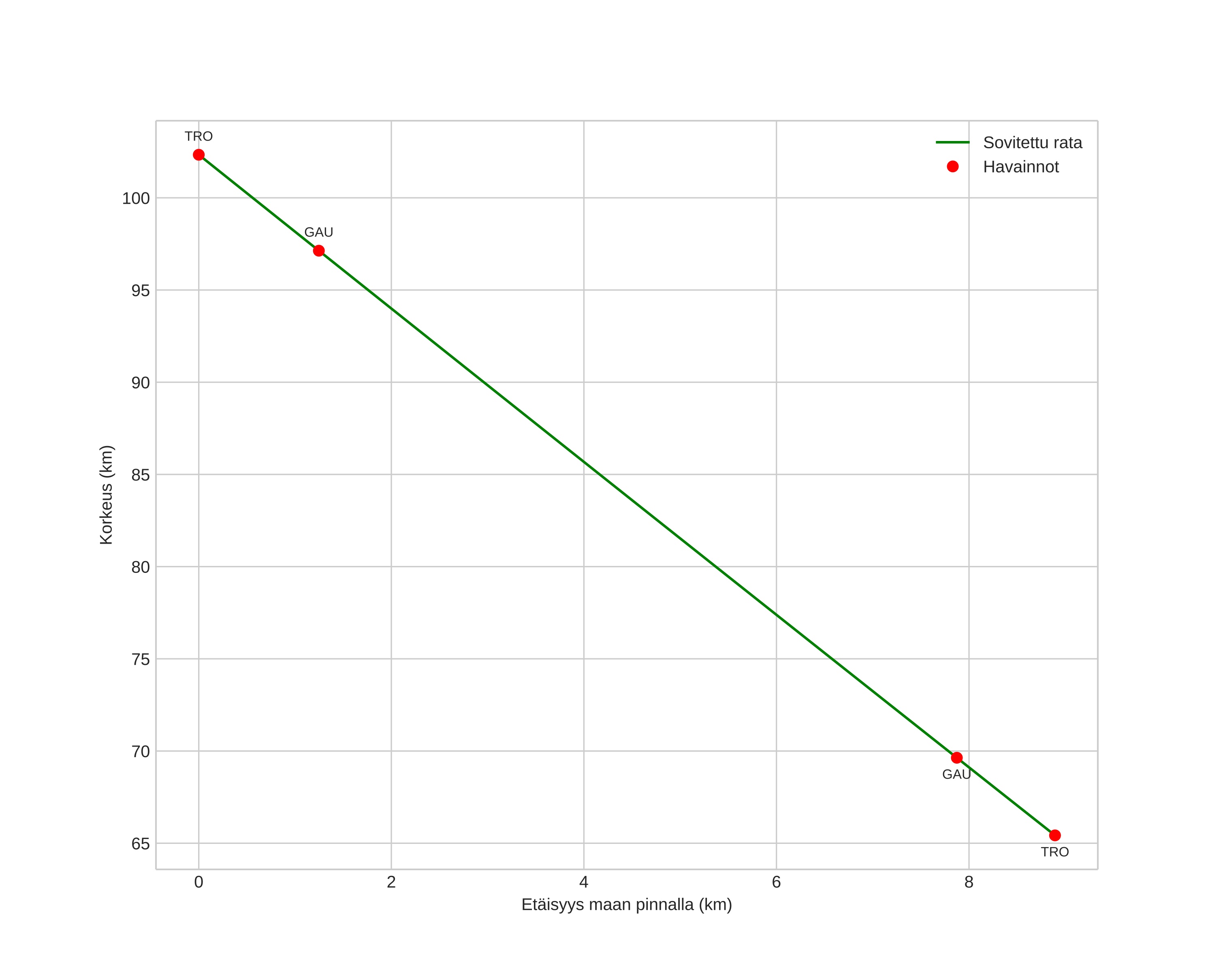
height profile
Meteorin ilmakehärata:
Alkukorkeus: 102,4 km
Loppukorkeus: 65,4 km
Alkupiste: 62,414N 10,259E
Loppupiste: 62,363N 10,392E
Suunta: 129,8°
Kallistuskulma: 76,5°
Tulonopeus: 26,3 km/s
Radiantin R,A,: 18:47 (281,9°)
Radiantin Dekl,: 68,3°
Meteoriparvi: Sporadinen
Meteoroidin rataelementit:
Perihelietäisyys: 0,985 AU
Eksentrisyys: 0,713
Inklinaatio: 37,4°
Nousevan solmun pituus: 235,0°
Perihelin argumentti: 187,5°
Keskianomalia: 359,1°
Epookki: 2022 NOV 17 16:29:03
orbit plot

Ei-interaktiivinen kuvaaja | Interaktiivinen kuvaaja

position vs time
speed and acceleration