🇳🇴 🇬🇧 🇩🇪 🇨🇿 🇫🇮

Meteor, poloha: Kiruna 2022-11-17 17:44:21 UTC

Soubor KML  |  InteraktivnĂ­ mapa

Mapa zobrazuje dráhy meteoru. Světlejší čáry ukazují směry od pozorovacích stanic při objevení se meteoru a tmavší čáry, kde byl naposledy viděn. Modrá šipka značí viditelnou dráhu meteoru.

static map
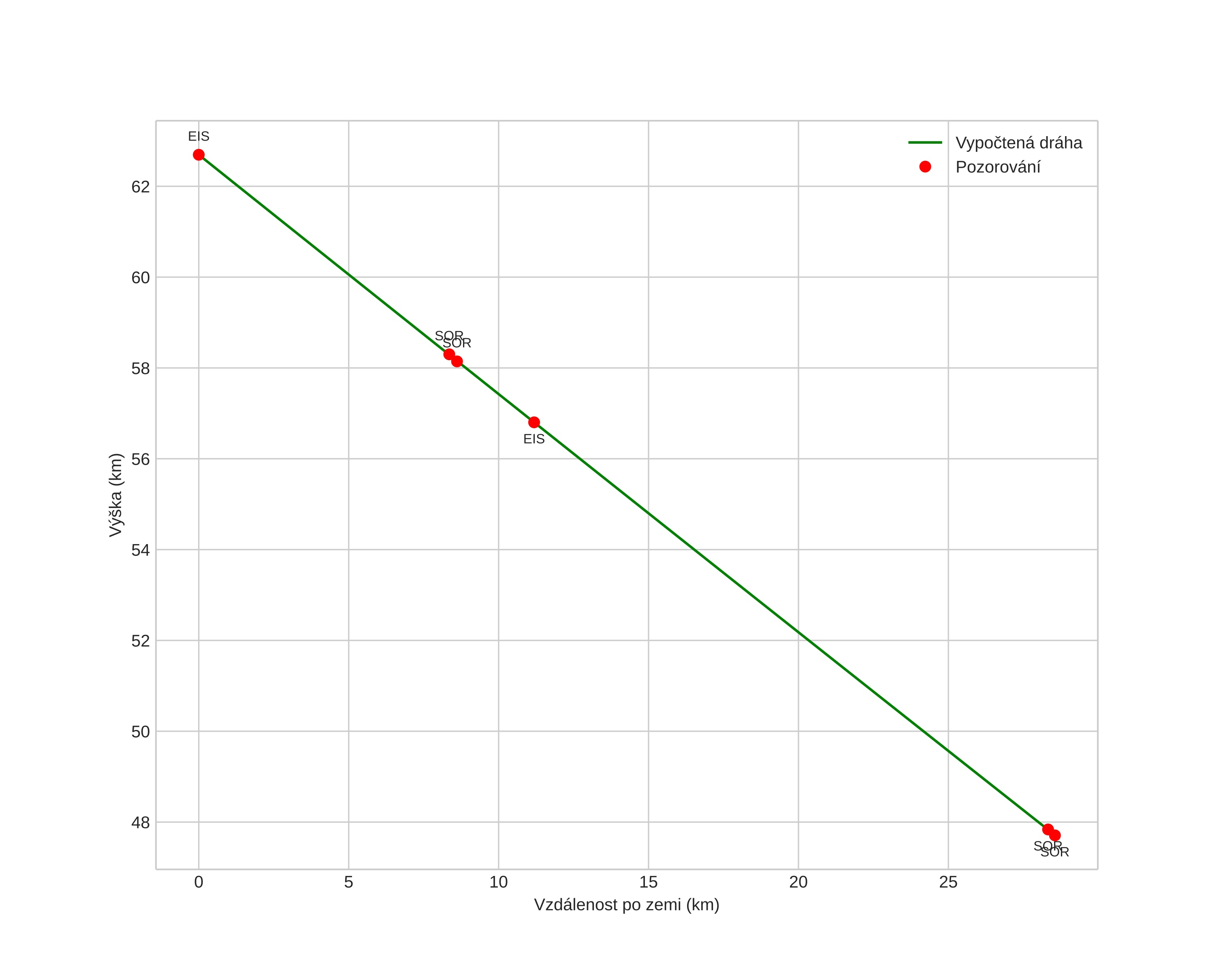
height profile
Atmosférická dráha meteoru:
Počáteční výška: 92,3 km
Konečná výška: 73,3 km
Počáteční poloha: 68,186N 20,539E
Konečná poloha: 68,216N 19,724E
Směr: 276,0°
Sklon: 29,3°
VstupnĂ­ rychlost: 34,1 km/s
Rektascenze radiantu: 03:46 (56,6°)
Deklinace radiantu: 23,2°
MeteorickĂ˝ roj: SevernĂ­ Tauridy
Elementy dráhy meteoroidu:
Vzdálenost v periheliu: 0,420 AU
Excentricita: 1,007
Sklon dráhy: 3,7°
Délka vzestupného uzlu: 235,0°
Argument perihelia: 278,4°
Střední anomálie: -0,1°
Epocha: 2022 NOV 17 17:44:21
orbit plot

NeinteraktivnĂ­ graf | InteraktivnĂ­ graf

position vs time
speed and acceleration