🇳🇴 🇬🇧 🇩🇪 🇨🇿 🇫🇮

Meteor Kirunan yllä 2022-11-17 17:44:21 UTC

KML-tiedosto  |  Interaktiivinen kartta

Kartta näyttää meteorin suuntahavainnot. Vaaleammat viivat näyttävät suunnat havaintoasemilta meteorin ilmestyessä, ja tummemmat viivat näyttävät, missä se viimeksi nähtiin. Sininen nuoli näyttää meteorin näkyvän lennon.

static map
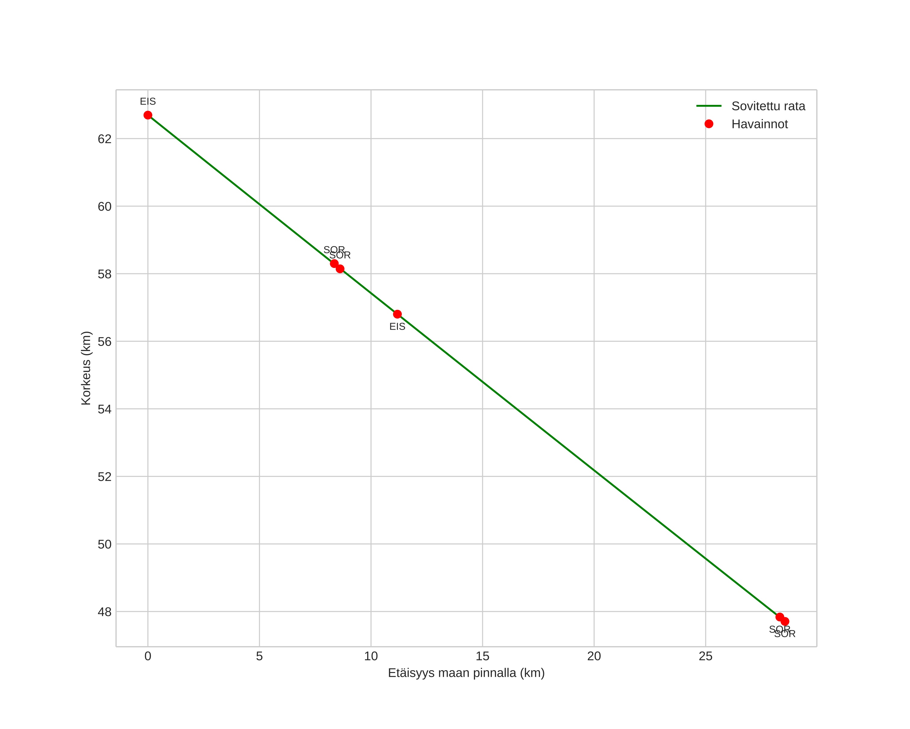
height profile
Meteorin ilmakehärata:
Alkukorkeus: 92,3 km
Loppukorkeus: 73,3 km
Alkupiste: 68,186N 20,539E
Loppupiste: 68,216N 19,724E
Suunta: 276,0°
Kallistuskulma: 29,3°
Tulonopeus: 34,1 km/s
Radiantin R,A,: 03:46 (56,6°)
Radiantin Dekl,: 23,2°
Meteoriparvi: Pohjoiset tauridit
Meteoroidin rataelementit:
Perihelietäisyys: 0,420 AU
Eksentrisyys: 1,007
Inklinaatio: 3,7°
Nousevan solmun pituus: 235,0°
Perihelin argumentti: 278,4°
Keskianomalia: -0,1°
Epookki: 2022 NOV 17 17:44:21
orbit plot

Ei-interaktiivinen kuvaaja | Interaktiivinen kuvaaja

position vs time
speed and acceleration