🇳🇴 🇬🇧 🇩🇪 🇨🇿 🇫🇮

Meteor, poloha: Borkenes 2022-11-17 18:49:45 UTC

Soubor KML  |  InteraktivnĂ­ mapa

Mapa zobrazuje dráhy meteoru. Světlejší čáry ukazují směry od pozorovacích stanic při objevení se meteoru a tmavší čáry, kde byl naposledy viděn. Modrá šipka značí viditelnou dráhu meteoru.

static map
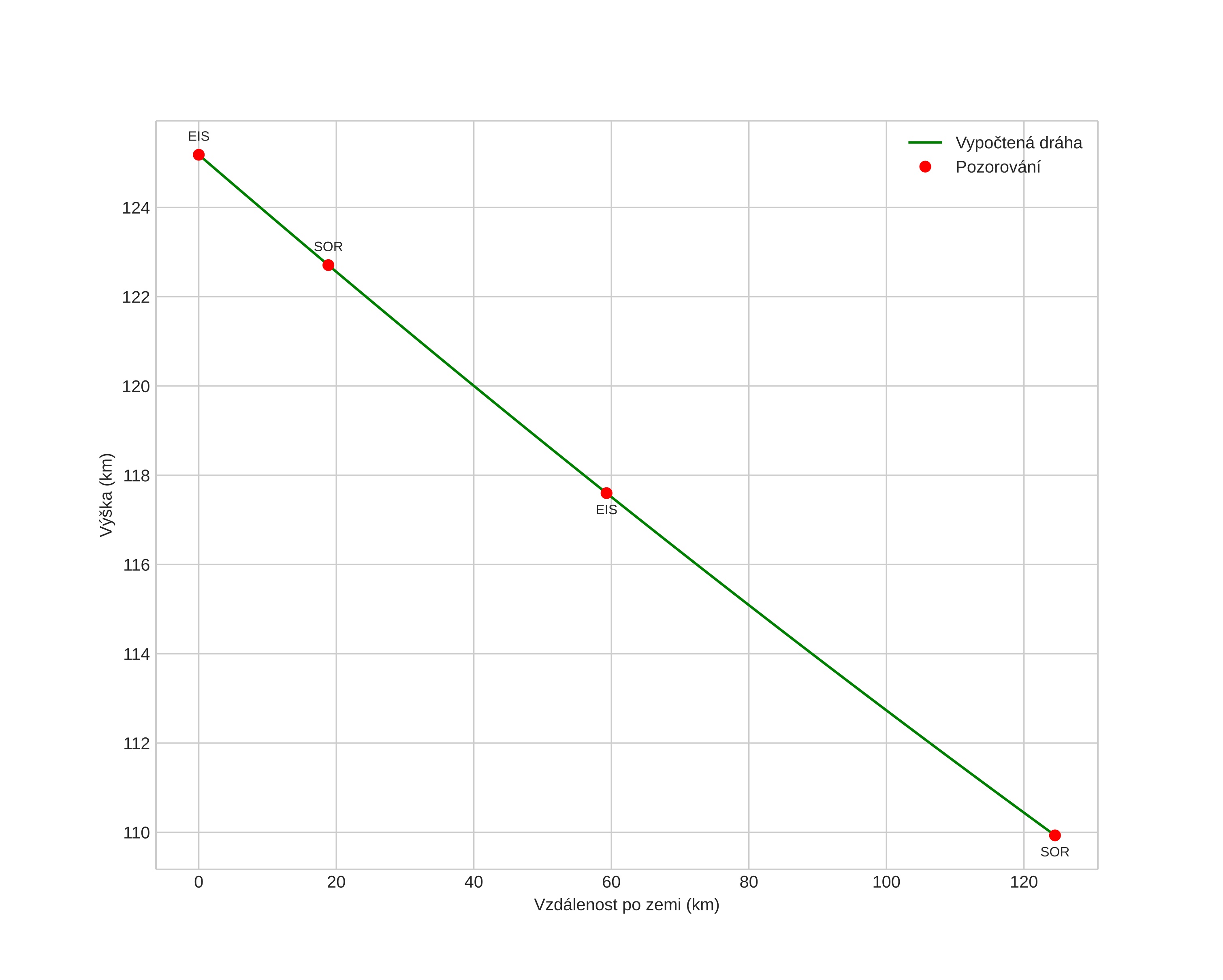
height profile
Atmosférická dráha meteoru:
Počáteční výška: 123,0 km
Konečná výška: 111,6 km
Počáteční poloha: 69,878N 17,081E
Konečná poloha: 68,886N 16,093E
Směr: 199,8°
Sklon: 5,6°
VstupnĂ­ rychlost: 72,5 km/s
Rektascenze radiantu: 10:17 (154,4°)
Deklinace radiantu: 23,9°
MeteorickĂ˝ roj: Leonidy
Elementy dráhy meteoroidu:
Vzdálenost v periheliu: 0,985 AU
Excentricita: 1,030
Sklon dráhy: 158,8°
Délka vzestupného uzlu: 235,1°
Argument perihelia: 172,8°
Střední anomálie: 0,0°
Epocha: 2022 NOV 17 18:49:45
orbit plot

NeinteraktivnĂ­ graf | InteraktivnĂ­ graf

position vs time
speed and acceleration