🇳🇴 🇬🇧 🇩🇪 🇨🇿 🇫🇮

Meteor Borkenesin yllä 2022-11-17 18:49:45 UTC

KML-tiedosto  |  Interaktiivinen kartta

Kartta näyttää meteorin suuntahavainnot. Vaaleammat viivat näyttävät suunnat havaintoasemilta meteorin ilmestyessä, ja tummemmat viivat näyttävät, missä se viimeksi nähtiin. Sininen nuoli näyttää meteorin näkyvän lennon.

static map
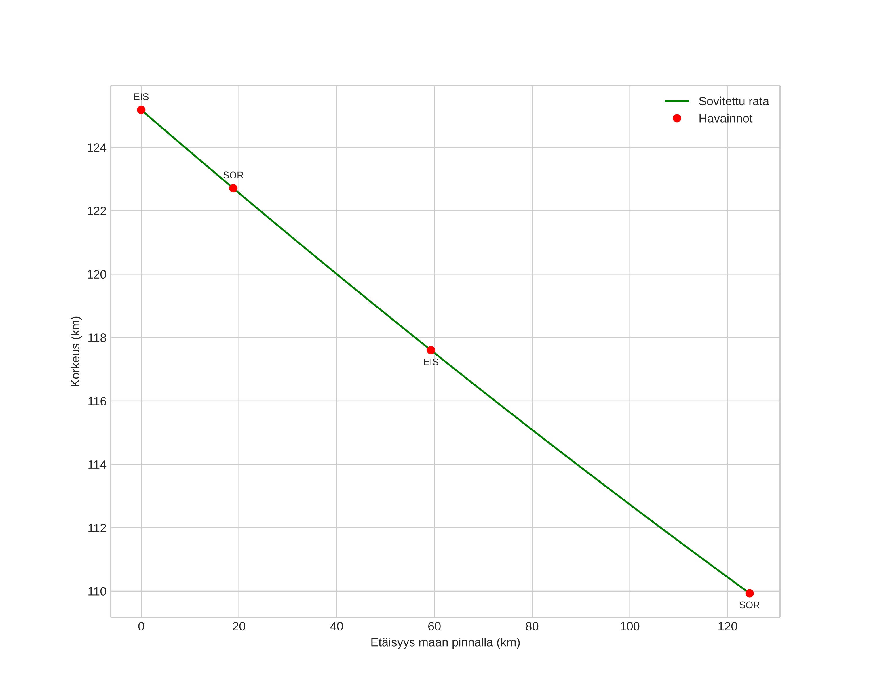
height profile
Meteorin ilmakehärata:
Alkukorkeus: 123,0 km
Loppukorkeus: 111,6 km
Alkupiste: 69,878N 17,081E
Loppupiste: 68,886N 16,093E
Suunta: 199,8°
Kallistuskulma: 5,6°
Tulonopeus: 72,5 km/s
Radiantin R,A,: 10:17 (154,4°)
Radiantin Dekl,: 23,9°
Meteoriparvi: Leonidit
Meteoroidin rataelementit:
Perihelietäisyys: 0,985 AU
Eksentrisyys: 1,030
Inklinaatio: 158,8°
Nousevan solmun pituus: 235,1°
Perihelin argumentti: 172,8°
Keskianomalia: 0,0°
Epookki: 2022 NOV 17 18:49:45
orbit plot

Ei-interaktiivinen kuvaaja | Interaktiivinen kuvaaja

position vs time
speed and acceleration