🇳🇴 🇬🇧 🇩🇪 🇨🇿 🇫🇮

Meteor, poloha: Jokkmokk 2022-11-17 20:20:45 UTC

Soubor KML  |  InteraktivnĂ­ mapa

Mapa zobrazuje dráhy meteoru. Světlejší čáry ukazují směry od pozorovacích stanic při objevení se meteoru a tmavší čáry, kde byl naposledy viděn. Modrá šipka značí viditelnou dráhu meteoru.

static map
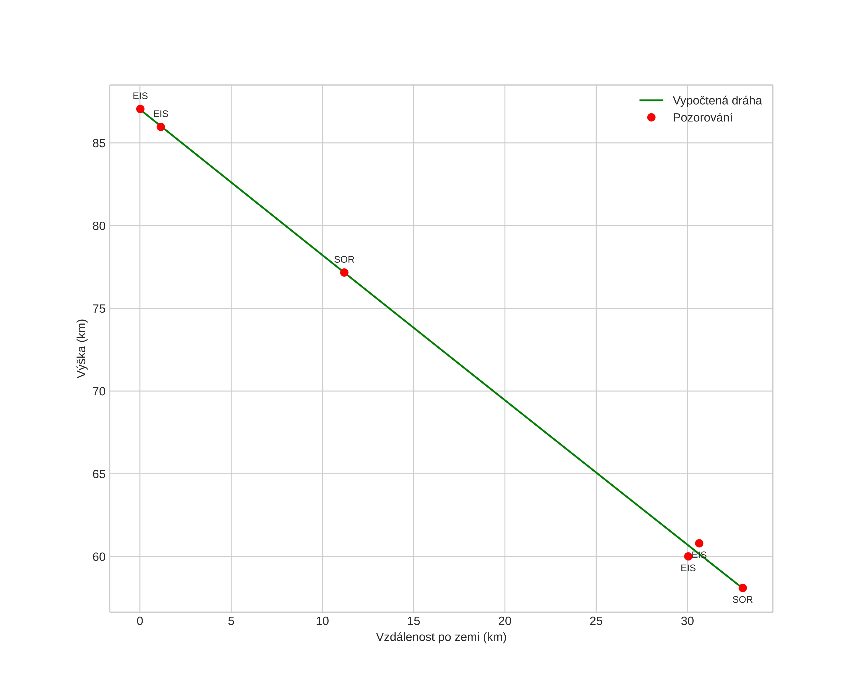
height profile
Atmosférická dráha meteoru:
Počáteční výška: 99,6 km
Konečná výška: 67,5 km
Počáteční poloha: 66,490N 19,936E
Konečná poloha: 66,668N 19,212E
Směr: 302,0°
Sklon: 40,4°
VstupnĂ­ rychlost: 37,2 km/s
Rektascenze radiantu: 04:30 (67,5°)
Deklinace radiantu: 24,6°
MeteorickĂ˝ roj: sporadickĂ˝
Elementy dráhy meteoroidu:
Vzdálenost v periheliu: 0,256 AU
Excentricita: 0,959
Sklon dráhy: 4,5°
Délka vzestupného uzlu: 235,1°
Argument perihelia: 300,9°
Střední anomálie: 357,7°
Epocha: 2022 NOV 17 20:20:45
orbit plot

NeinteraktivnĂ­ graf | InteraktivnĂ­ graf

position vs time
speed and acceleration