🇳🇴 🇬🇧 🇩🇪 🇨🇿 🇫🇮

Meteor Jokkmokkin yllä 2022-11-17 20:20:45 UTC

KML-tiedosto  |  Interaktiivinen kartta

Kartta näyttää meteorin suuntahavainnot. Vaaleammat viivat näyttävät suunnat havaintoasemilta meteorin ilmestyessä, ja tummemmat viivat näyttävät, missä se viimeksi nähtiin. Sininen nuoli näyttää meteorin näkyvän lennon.

static map
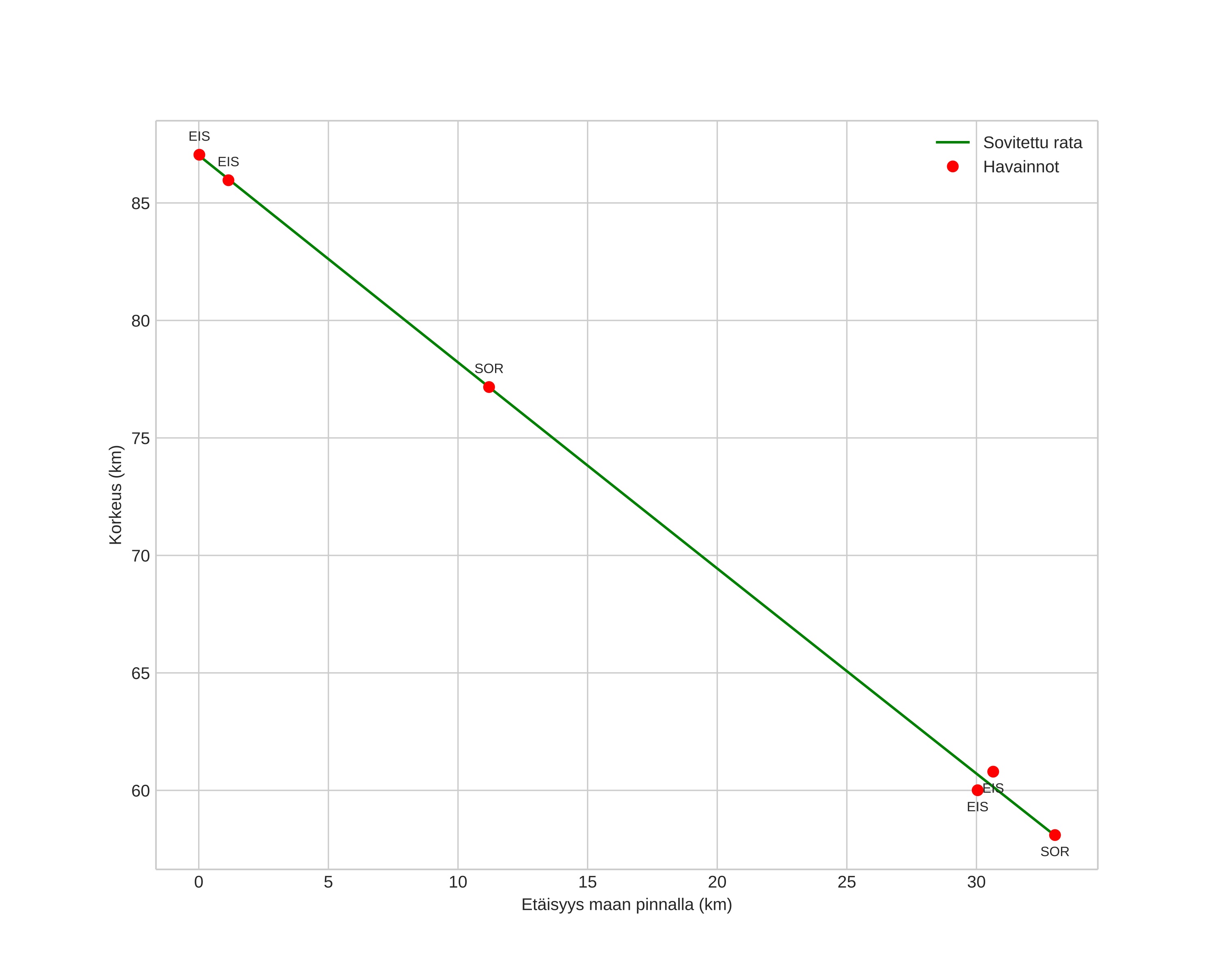
height profile
Meteorin ilmakehärata:
Alkukorkeus: 99,6 km
Loppukorkeus: 67,5 km
Alkupiste: 66,490N 19,936E
Loppupiste: 66,668N 19,212E
Suunta: 302,0°
Kallistuskulma: 40,4°
Tulonopeus: 37,2 km/s
Radiantin R,A,: 04:30 (67,5°)
Radiantin Dekl,: 24,6°
Meteoriparvi: Sporadinen
Meteoroidin rataelementit:
Perihelietäisyys: 0,256 AU
Eksentrisyys: 0,959
Inklinaatio: 4,5°
Nousevan solmun pituus: 235,1°
Perihelin argumentti: 300,9°
Keskianomalia: 357,7°
Epookki: 2022 NOV 17 20:20:45
orbit plot

Ei-interaktiivinen kuvaaja | Interaktiivinen kuvaaja

position vs time
speed and acceleration