🇳🇴 🇬🇧 🇩🇪 🇨🇿 🇫🇮

Meteor, poloha: Tromsø 2022-11-17 22:22:13 UTC

Soubor KML  |  InteraktivnĂ­ mapa

Mapa zobrazuje dráhy meteoru. Světlejší čáry ukazují směry od pozorovacích stanic při objevení se meteoru a tmavší čáry, kde byl naposledy viděn. Modrá šipka značí viditelnou dráhu meteoru.

static map
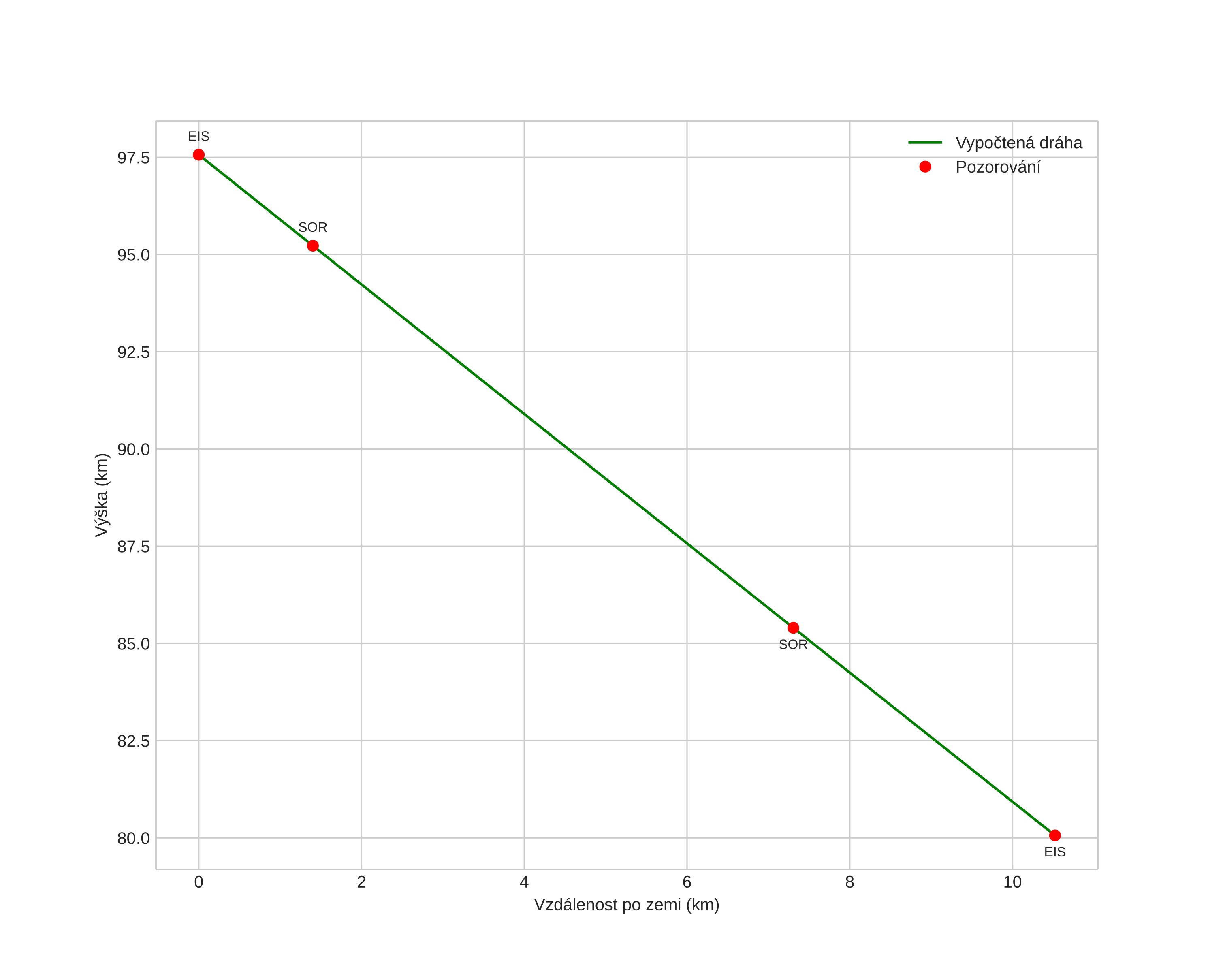
height profile
Atmosférická dráha meteoru:
Počáteční výška: 97,8 km
Konečná výška: 80,2 km
Počáteční poloha: 70,518N 17,814E
Konečná poloha: 70,591N 17,999E
Směr: 40,0°
Sklon: 58,8°
VstupnĂ­ rychlost: 21,5 km/s
Rektascenze radiantu: 01:26 (21,7°)
Deklinace radiantu: 39,7°
MeteorickĂ˝ roj: sporadickĂ˝
Elementy dráhy meteoroidu:
Vzdálenost v periheliu: 0,816 AU
Excentricita: 0,807
Sklon dráhy: 13,8°
Délka vzestupného uzlu: 235,2°
Argument perihelia: 232,5°
Střední anomálie: 356,2°
Epocha: 2022 NOV 17 22:22:13
orbit plot

NeinteraktivnĂ­ graf | InteraktivnĂ­ graf

position vs time
speed and acceleration