🇳🇴 🇬🇧 🇩🇪 🇨🇿 🇫🇮

Meteor Tromsøin yllä 2022-11-17 22:22:13 UTC

KML-tiedosto  |  Interaktiivinen kartta

Kartta näyttää meteorin suuntahavainnot. Vaaleammat viivat näyttävät suunnat havaintoasemilta meteorin ilmestyessä, ja tummemmat viivat näyttävät, missä se viimeksi nähtiin. Sininen nuoli näyttää meteorin näkyvän lennon.

static map
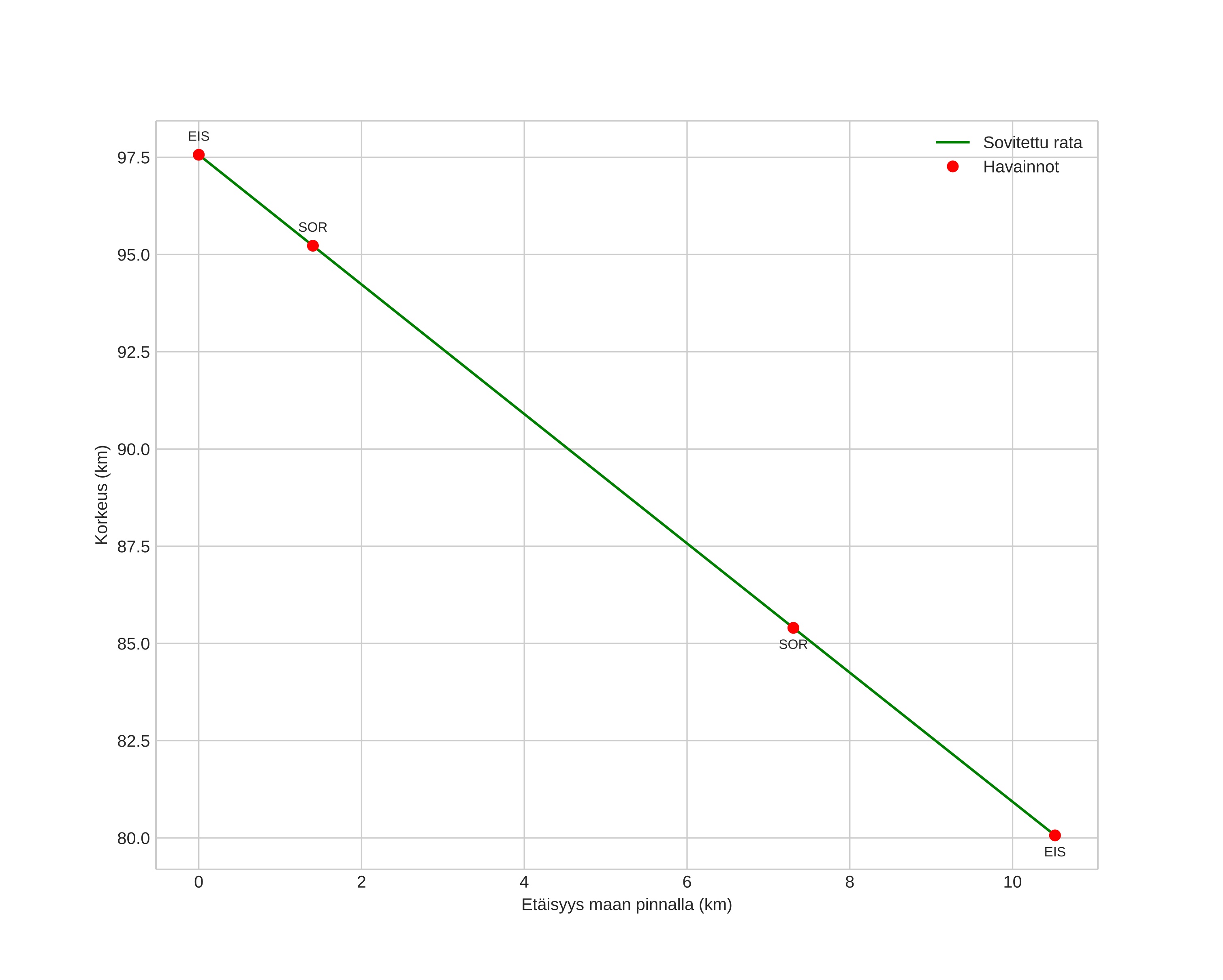
height profile
Meteorin ilmakehärata:
Alkukorkeus: 97,8 km
Loppukorkeus: 80,2 km
Alkupiste: 70,518N 17,814E
Loppupiste: 70,591N 17,999E
Suunta: 40,0°
Kallistuskulma: 58,8°
Tulonopeus: 21,5 km/s
Radiantin R,A,: 01:26 (21,7°)
Radiantin Dekl,: 39,7°
Meteoriparvi: Sporadinen
Meteoroidin rataelementit:
Perihelietäisyys: 0,816 AU
Eksentrisyys: 0,807
Inklinaatio: 13,8°
Nousevan solmun pituus: 235,2°
Perihelin argumentti: 232,5°
Keskianomalia: 356,2°
Epookki: 2022 NOV 17 22:22:13
orbit plot

Ei-interaktiivinen kuvaaja | Interaktiivinen kuvaaja

position vs time
speed and acceleration