🇳🇴 🇬🇧 🇩🇪 🇨🇿 🇫🇮

Meteor, poloha: Myre 2022-11-17 23:34:29 UTC

Soubor KML  |  InteraktivnĂ­ mapa

Mapa zobrazuje dráhy meteoru. Světlejší čáry ukazují směry od pozorovacích stanic při objevení se meteoru a tmavší čáry, kde byl naposledy viděn. Modrá šipka značí viditelnou dráhu meteoru.

static map
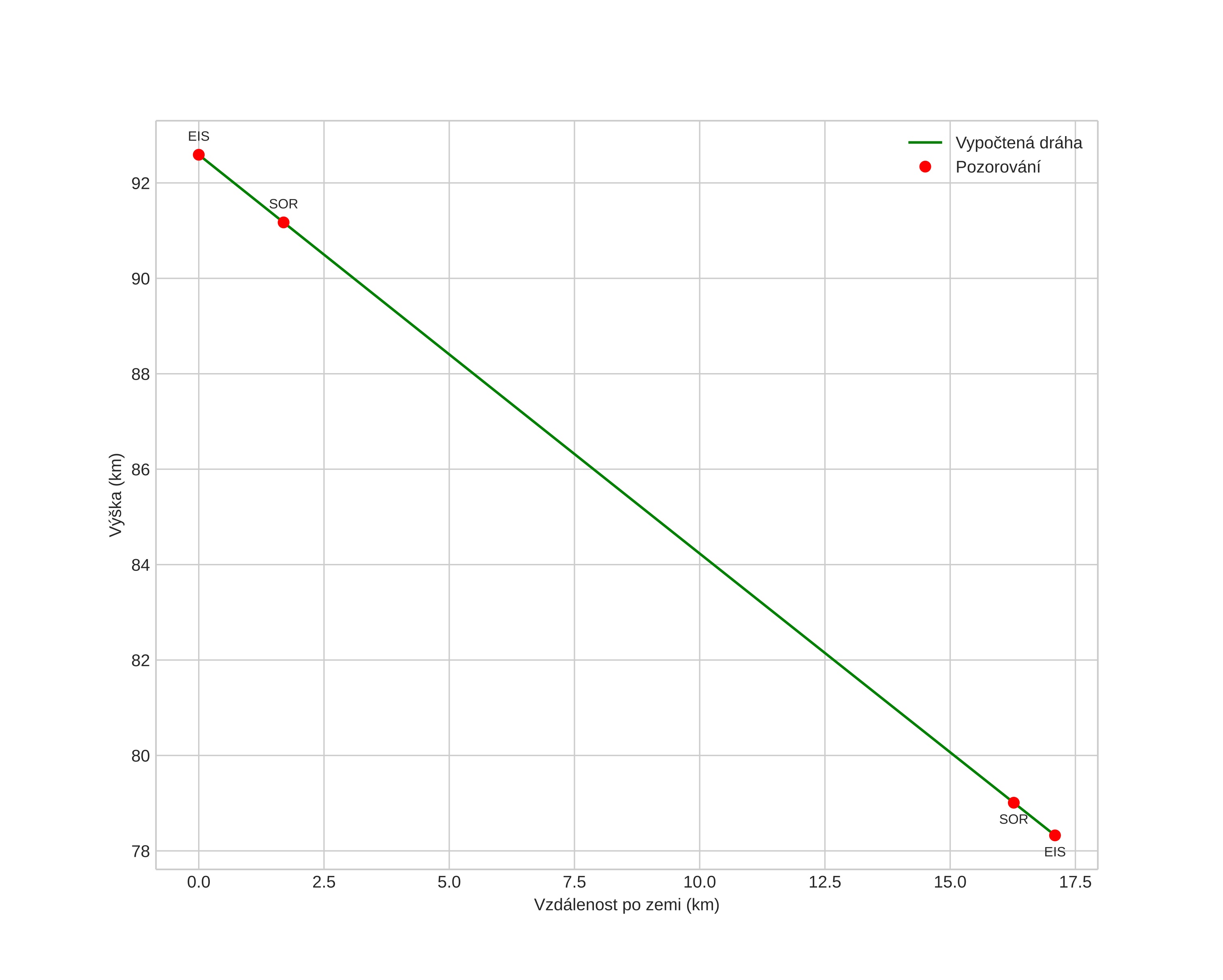
height profile
Atmosférická dráha meteoru:
Počáteční výška: 91,0 km
Konečná výška: 78,5 km
Počáteční poloha: 68,776N 15,251E
Konečná poloha: 68,912N 15,289E
Směr: 5,9°
Sklon: 39,4°
VstupnĂ­ rychlost: 30,3 km/s
Rektascenze radiantu: 04:01 (60,3°)
Deklinace radiantu: 16,3°
MeteorickĂ˝ roj: JiĹľnĂ­ Tauridy
Elementy dráhy meteoroidu:
Vzdálenost v periheliu: 0,433 AU
Excentricita: 0,877
Sklon dráhy: 4,5°
Délka vzestupného uzlu: 55,3°
Argument perihelia: 101,7°
Střední anomálie: 353,8°
Epocha: 2022 NOV 17 23:34:29
orbit plot

NeinteraktivnĂ­ graf | InteraktivnĂ­ graf

position vs time
speed and acceleration