🇳🇴 🇬🇧 🇩🇪 🇨🇿 🇫🇮

Meteor Myren yllä 2022-11-17 23:34:29 UTC

KML-tiedosto  |  Interaktiivinen kartta

Kartta näyttää meteorin suuntahavainnot. Vaaleammat viivat näyttävät suunnat havaintoasemilta meteorin ilmestyessä, ja tummemmat viivat näyttävät, missä se viimeksi nähtiin. Sininen nuoli näyttää meteorin näkyvän lennon.

static map
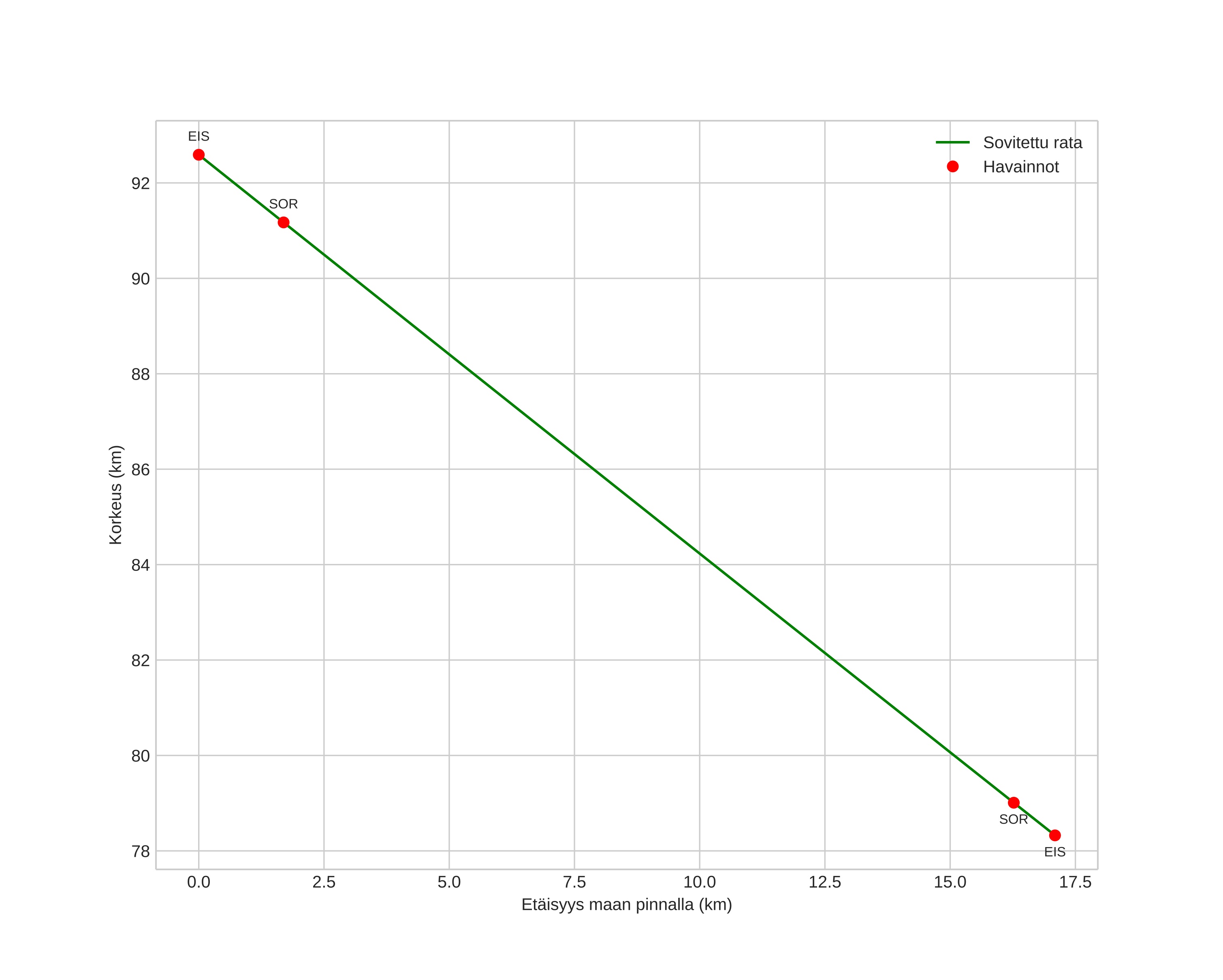
height profile
Meteorin ilmakehärata:
Alkukorkeus: 91,0 km
Loppukorkeus: 78,5 km
Alkupiste: 68,776N 15,251E
Loppupiste: 68,912N 15,289E
Suunta: 5,9°
Kallistuskulma: 39,4°
Tulonopeus: 30,3 km/s
Radiantin R,A,: 04:01 (60,3°)
Radiantin Dekl,: 16,3°
Meteoriparvi: Eteläiset tauridit
Meteoroidin rataelementit:
Perihelietäisyys: 0,433 AU
Eksentrisyys: 0,877
Inklinaatio: 4,5°
Nousevan solmun pituus: 55,3°
Perihelin argumentti: 101,7°
Keskianomalia: 353,8°
Epookki: 2022 NOV 17 23:34:29
orbit plot

Ei-interaktiivinen kuvaaja | Interaktiivinen kuvaaja

position vs time
speed and acceleration