🇳🇴 🇬🇧 🇩🇪 🇨🇿 🇫🇮

Meteor, poloha: Andenes 2022-11-18 18:59:08 UTC

Soubor KML  |  InteraktivnĂ­ mapa

Mapa zobrazuje dráhy meteoru. Světlejší čáry ukazují směry od pozorovacích stanic při objevení se meteoru a tmavší čáry, kde byl naposledy viděn. Modrá šipka značí viditelnou dráhu meteoru.

static map
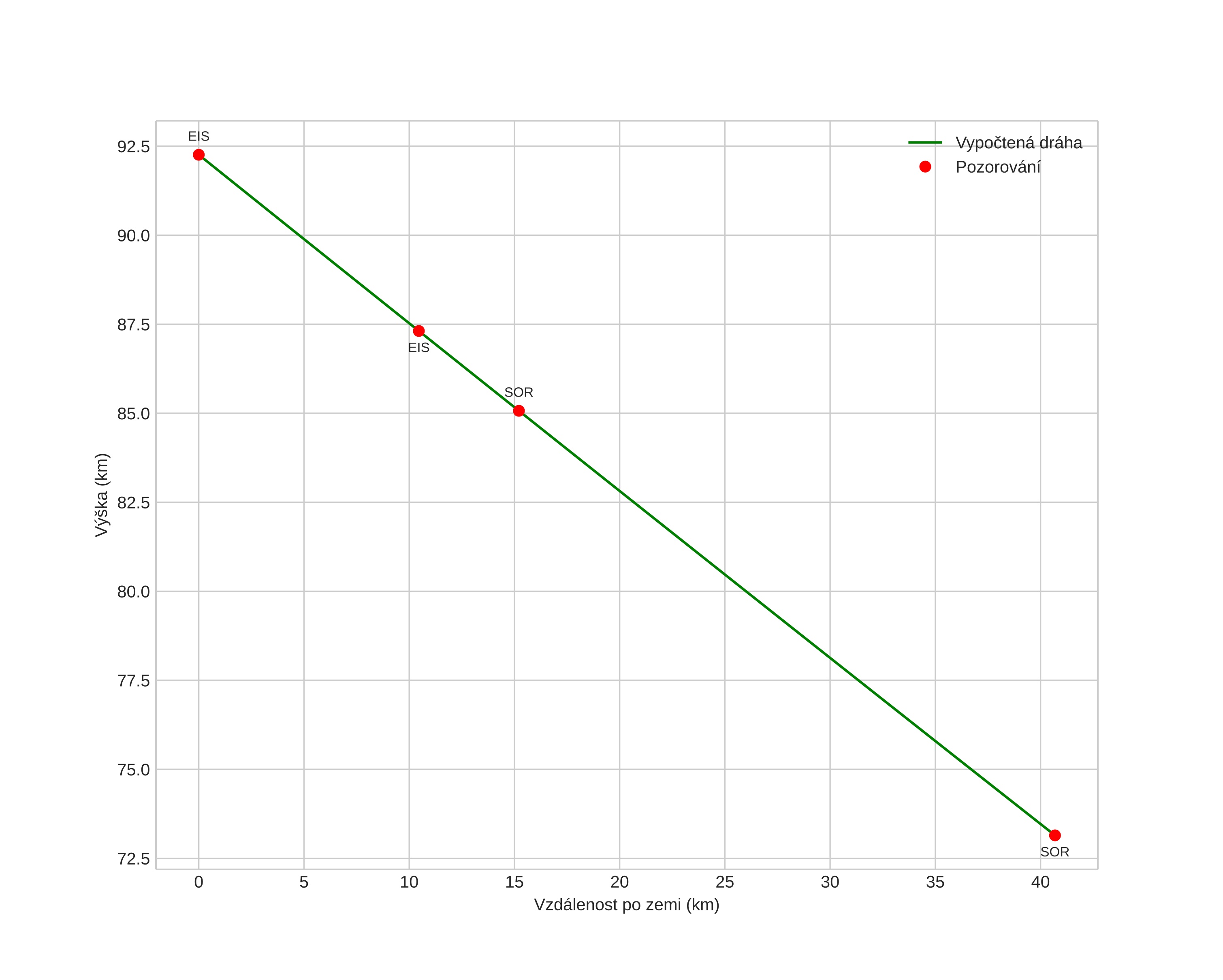
height profile
Atmosférická dráha meteoru:
Počáteční výška: 92,4 km
Konečná výška: 73,1 km
Počáteční poloha: 71,611N 17,999E
Konečná poloha: 71,766N 16,952E
Směr: 295,8°
Sklon: 25,5°
VstupnĂ­ rychlost: 26,7 km/s
Rektascenze radiantu: 03:56 (59,0°)
Deklinace radiantu: 13,3°
MeteorickĂ˝ roj: JiĹľnĂ­ Tauridy
Elementy dráhy meteoroidu:
Vzdálenost v periheliu: 0,512 AU
Excentricita: 0,783
Sklon dráhy: 5,9°
Délka vzestupného uzlu: 56,1°
Argument perihelia: 95,6°
Střední anomálie: 348,0°
Epocha: 2022 NOV 18 18:59:08
orbit plot

NeinteraktivnĂ­ graf | InteraktivnĂ­ graf

position vs time
speed and acceleration