🇳🇴 🇬🇧 🇩🇪 🇨🇿 🇫🇮

Meteor Andenesin yllä 2022-11-18 18:59:08 UTC

KML-tiedosto  |  Interaktiivinen kartta

Kartta näyttää meteorin suuntahavainnot. Vaaleammat viivat näyttävät suunnat havaintoasemilta meteorin ilmestyessä, ja tummemmat viivat näyttävät, missä se viimeksi nähtiin. Sininen nuoli näyttää meteorin näkyvän lennon.

static map
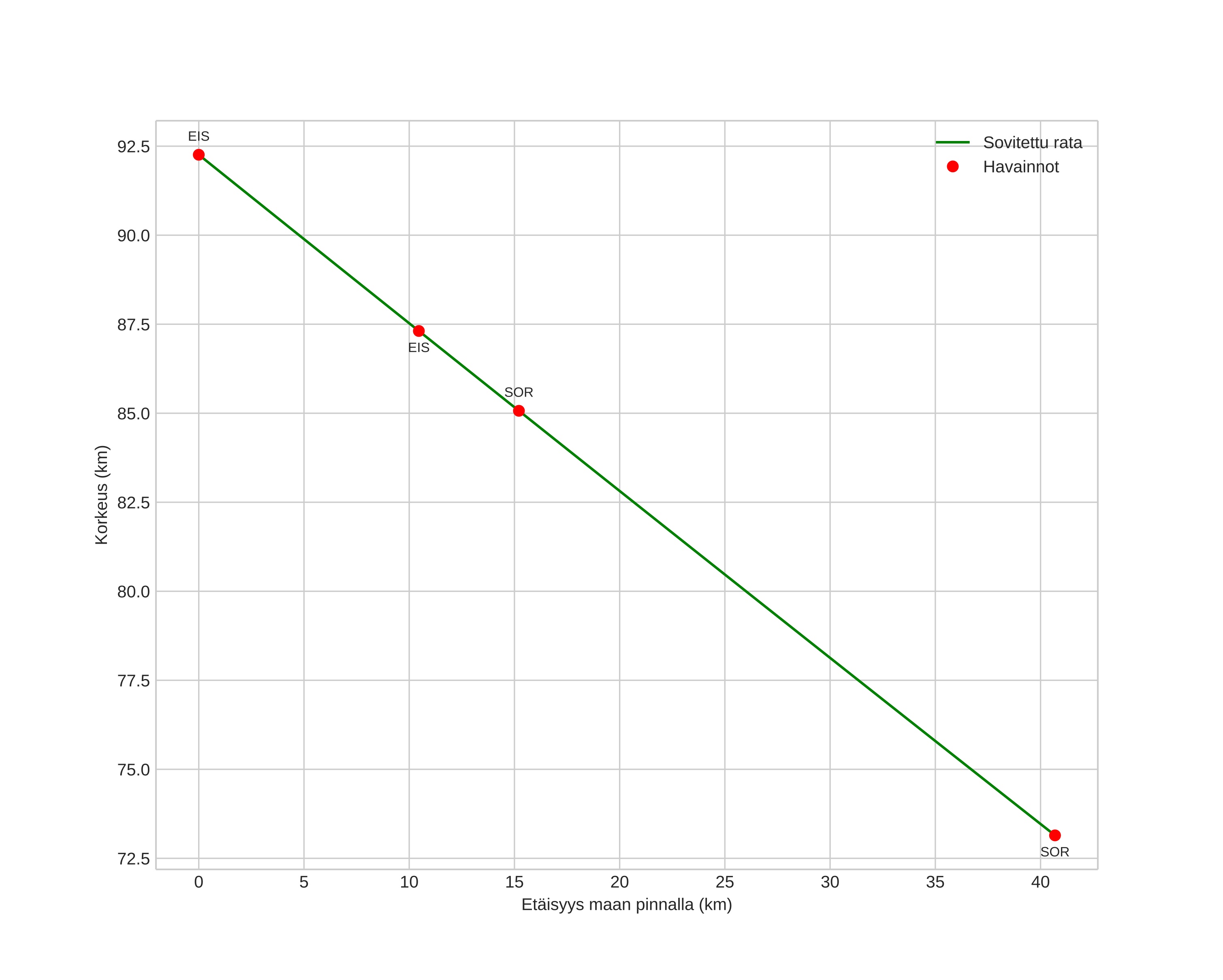
height profile
Meteorin ilmakehärata:
Alkukorkeus: 92,4 km
Loppukorkeus: 73,1 km
Alkupiste: 71,611N 17,999E
Loppupiste: 71,766N 16,952E
Suunta: 295,8°
Kallistuskulma: 25,5°
Tulonopeus: 26,7 km/s
Radiantin R,A,: 03:56 (59,0°)
Radiantin Dekl,: 13,3°
Meteoriparvi: Eteläiset tauridit
Meteoroidin rataelementit:
Perihelietäisyys: 0,512 AU
Eksentrisyys: 0,783
Inklinaatio: 5,9°
Nousevan solmun pituus: 56,1°
Perihelin argumentti: 95,6°
Keskianomalia: 348,0°
Epookki: 2022 NOV 18 18:59:08
orbit plot

Ei-interaktiivinen kuvaaja | Interaktiivinen kuvaaja

position vs time
speed and acceleration