🇳🇴 🇬🇧 🇩🇪 🇨🇿 🇫🇮

Meteor, poloha: Myre 2022-11-18 19:49:49 UTC

Soubor KML  |  InteraktivnĂ­ mapa

Mapa zobrazuje dráhy meteoru. Světlejší čáry ukazují směry od pozorovacích stanic při objevení se meteoru a tmavší čáry, kde byl naposledy viděn. Modrá šipka značí viditelnou dráhu meteoru.

static map
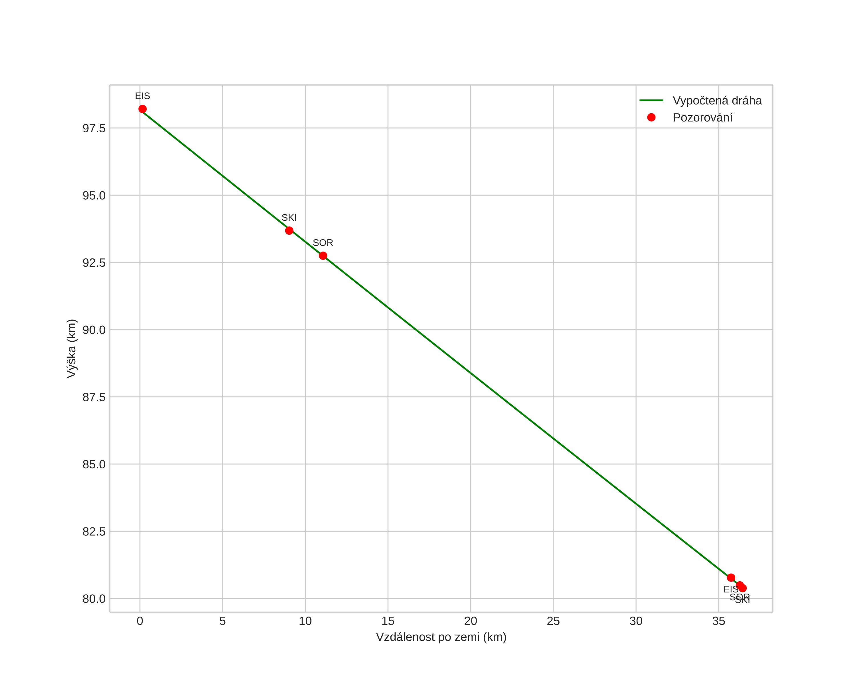
height profile
Atmosférická dráha meteoru:
Počáteční výška: 101,7 km
Konečná výška: 79,1 km
Počáteční poloha: 70,392N 15,664E
Konečná poloha: 70,509N 14,574E
Směr: 288,3°
Sklon: 28,0°
VstupnĂ­ rychlost: 38,2 km/s
Rektascenze radiantu: 04:57 (74,4°)
Deklinace radiantu: 19,0°
MeteorickĂ˝ roj: sporadickĂ˝
Elementy dráhy meteoroidu:
Vzdálenost v periheliu: 0,191 AU
Excentricita: 0,945
Sklon dráhy: 7,3°
Délka vzestupného uzlu: 56,2°
Argument perihelia: 131,3°
Střední anomálie: 354,5°
Epocha: 2022 NOV 18 19:49:49
orbit plot

NeinteraktivnĂ­ graf | InteraktivnĂ­ graf

position vs time
speed and acceleration