🇳🇴 🇬🇧 🇩🇪 🇨🇿 🇫🇮

Meteor Myren yllä 2022-11-18 19:49:49 UTC

KML-tiedosto  |  Interaktiivinen kartta

Kartta näyttää meteorin suuntahavainnot. Vaaleammat viivat näyttävät suunnat havaintoasemilta meteorin ilmestyessä, ja tummemmat viivat näyttävät, missä se viimeksi nähtiin. Sininen nuoli näyttää meteorin näkyvän lennon.

static map
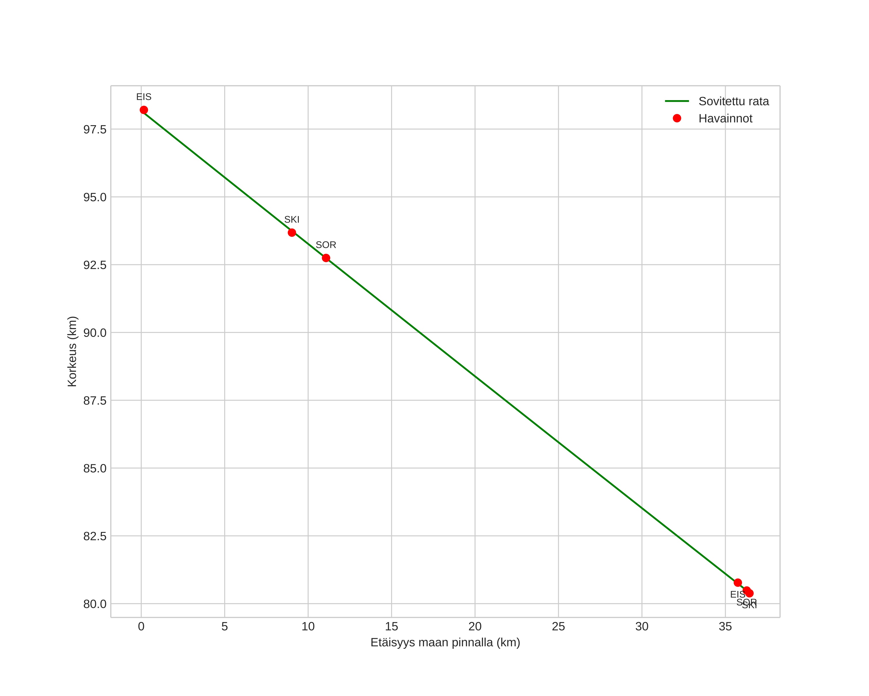
height profile
Meteorin ilmakehärata:
Alkukorkeus: 101,7 km
Loppukorkeus: 79,1 km
Alkupiste: 70,392N 15,664E
Loppupiste: 70,509N 14,574E
Suunta: 288,3°
Kallistuskulma: 28,0°
Tulonopeus: 38,2 km/s
Radiantin R,A,: 04:57 (74,4°)
Radiantin Dekl,: 19,0°
Meteoriparvi: Sporadinen
Meteoroidin rataelementit:
Perihelietäisyys: 0,191 AU
Eksentrisyys: 0,945
Inklinaatio: 7,3°
Nousevan solmun pituus: 56,2°
Perihelin argumentti: 131,3°
Keskianomalia: 354,5°
Epookki: 2022 NOV 18 19:49:49
orbit plot

Ei-interaktiivinen kuvaaja | Interaktiivinen kuvaaja

position vs time
speed and acceleration