🇳🇴 🇬🇧 🇩🇪 🇨🇿 🇫🇮

Meteor, poloha: Kiruna 2022-11-19 05:07:59 UTC

Soubor KML  |  InteraktivnĂ­ mapa

Mapa zobrazuje dráhy meteoru. Světlejší čáry ukazují směry od pozorovacích stanic při objevení se meteoru a tmavší čáry, kde byl naposledy viděn. Modrá šipka značí viditelnou dráhu meteoru.

static map
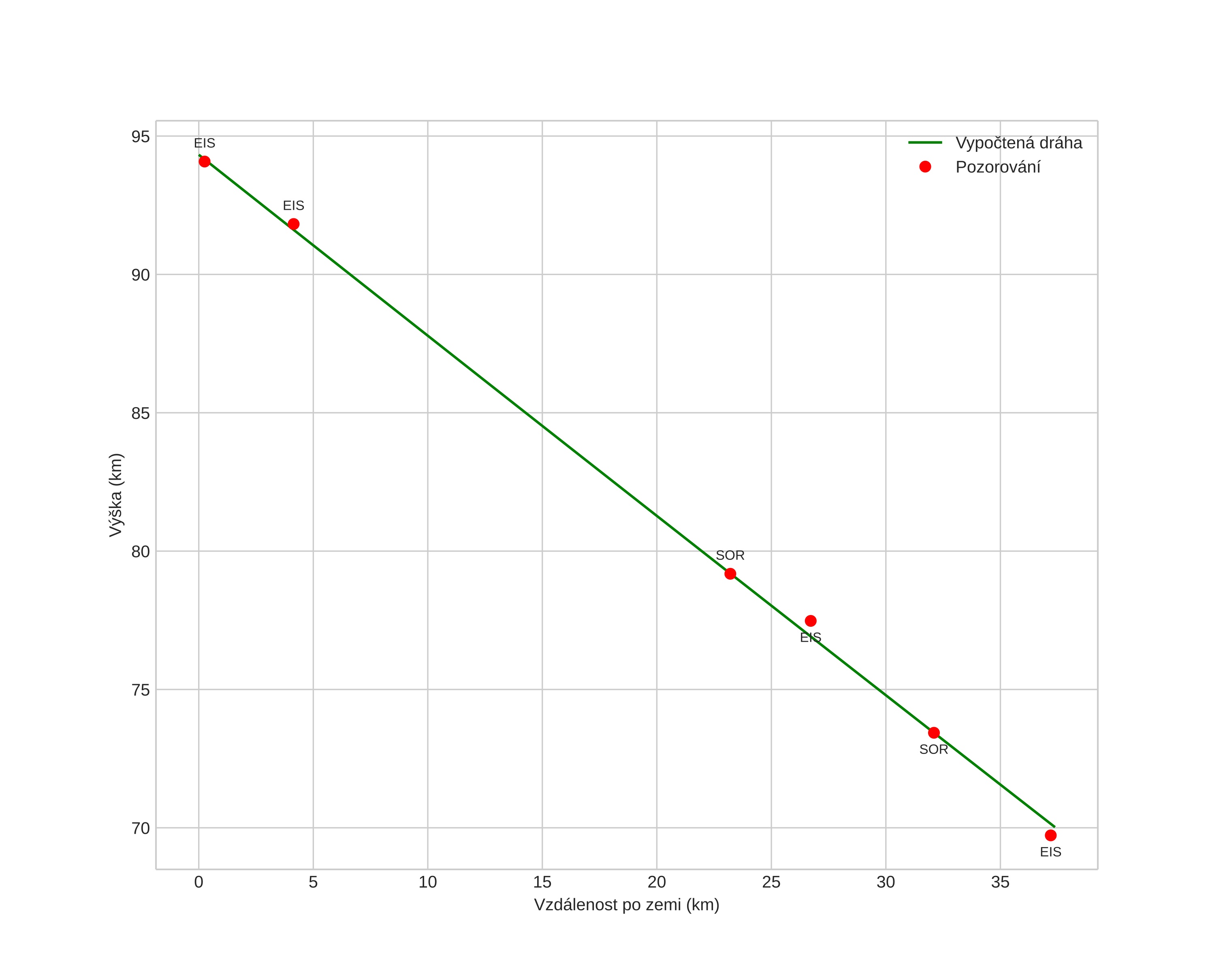
height profile
Atmosférická dráha meteoru:
Počáteční výška: 97,9 km
Konečná výška: 70,9 km
Počáteční poloha: 68,257N 19,370E
Konečná poloha: 68,186N 20,321E
Směr: 100,9°
Sklon: 34,0°
VstupnĂ­ rychlost: 34,2 km/s
Rektascenze radiantu: 04:30 (67,6°)
Deklinace radiantu: 33,5°
MeteorickĂ˝ roj: sporadickĂ˝
Elementy dráhy meteoroidu:
Vzdálenost v periheliu: 0,308 AU
Excentricita: 0,899
Sklon dráhy: 16,4°
Délka vzestupného uzlu: 236,5°
Argument perihelia: 297,0°
Střední anomálie: 352,7°
Epocha: 2022 NOV 19 05:07:59
orbit plot

NeinteraktivnĂ­ graf | InteraktivnĂ­ graf

position vs time
speed and acceleration