🇳🇴 🇬🇧 🇩🇪 🇨🇿 🇫🇮

Meteor Kirunan yllä 2022-11-19 05:07:59 UTC

KML-tiedosto  |  Interaktiivinen kartta

Kartta näyttää meteorin suuntahavainnot. Vaaleammat viivat näyttävät suunnat havaintoasemilta meteorin ilmestyessä, ja tummemmat viivat näyttävät, missä se viimeksi nähtiin. Sininen nuoli näyttää meteorin näkyvän lennon.

static map
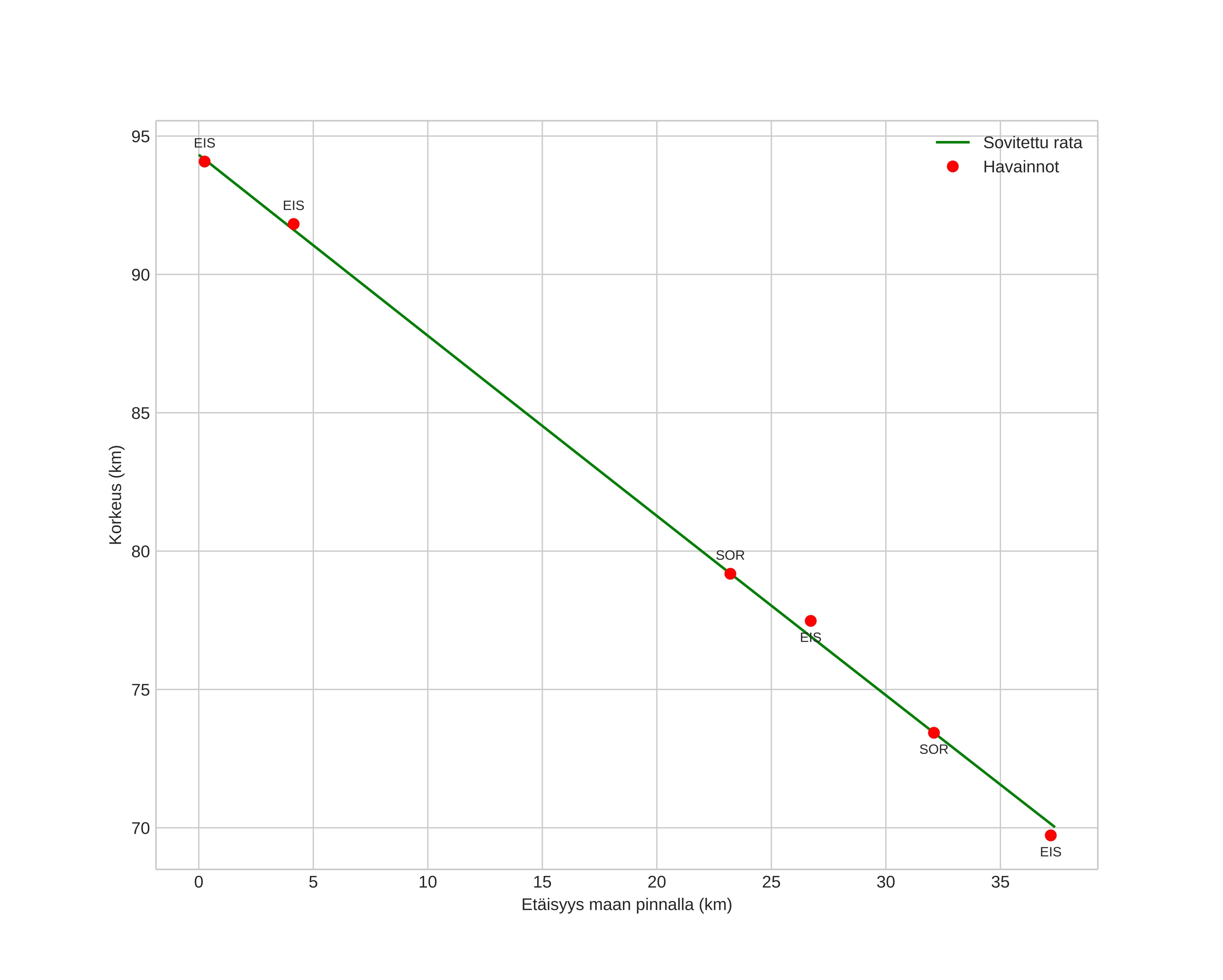
height profile
Meteorin ilmakehärata:
Alkukorkeus: 97,9 km
Loppukorkeus: 70,9 km
Alkupiste: 68,257N 19,370E
Loppupiste: 68,186N 20,321E
Suunta: 100,9°
Kallistuskulma: 34,0°
Tulonopeus: 34,2 km/s
Radiantin R,A,: 04:30 (67,6°)
Radiantin Dekl,: 33,5°
Meteoriparvi: Sporadinen
Meteoroidin rataelementit:
Perihelietäisyys: 0,308 AU
Eksentrisyys: 0,899
Inklinaatio: 16,4°
Nousevan solmun pituus: 236,5°
Perihelin argumentti: 297,0°
Keskianomalia: 352,7°
Epookki: 2022 NOV 19 05:07:59
orbit plot

Ei-interaktiivinen kuvaaja | Interaktiivinen kuvaaja

position vs time
speed and acceleration