🇳🇴 🇬🇧 🇩🇪 🇨🇿 🇫🇮

Meteor, poloha: Utsjoki 2022-11-19 19:14:26 UTC

Soubor KML  |  InteraktivnĂ­ mapa

Mapa zobrazuje dráhy meteoru. Světlejší čáry ukazují směry od pozorovacích stanic při objevení se meteoru a tmavší čáry, kde byl naposledy viděn. Modrá šipka značí viditelnou dráhu meteoru.

static map
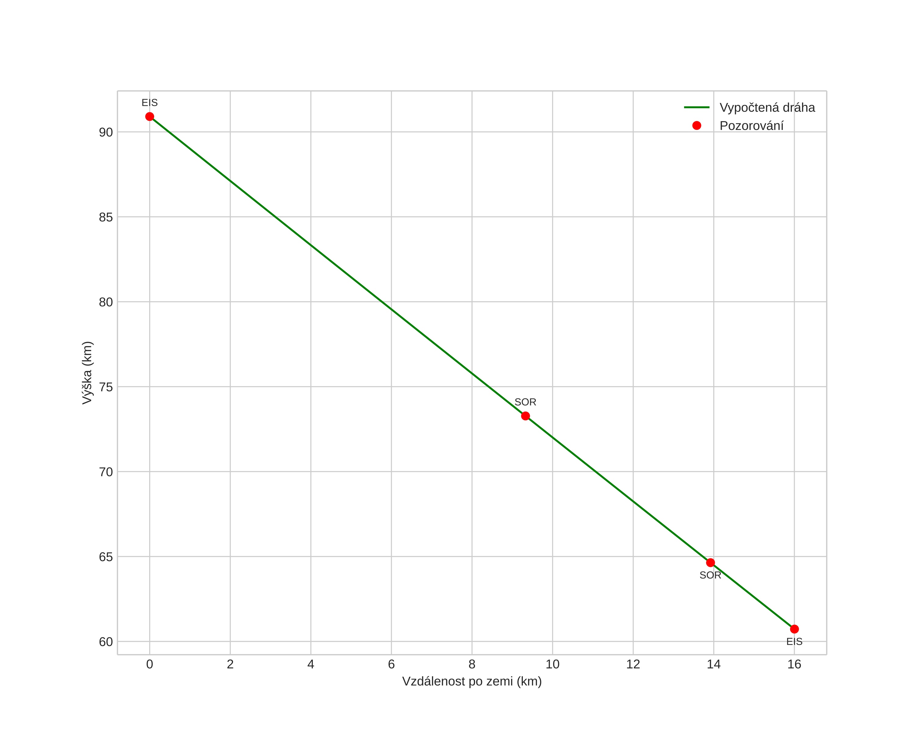
height profile
Atmosférická dráha meteoru:
Počáteční výška: 90,9 km
Konečná výška: 60,7 km
Počáteční poloha: 69,623N 27,644E
Konečná poloha: 69,543N 27,305E
Směr: 235,9°
Sklon: 62,2°
VstupnĂ­ rychlost: 29,7 km/s
Rektascenze radiantu: 06:26 (96,7°)
Deklinace radiantu: 66,5°
MeteorickĂ˝ roj: sporadickĂ˝
Elementy dráhy meteoroidu:
Vzdálenost v periheliu: 0,491 AU
Excentricita: 0,535
Sklon dráhy: 45,9°
Délka vzestupného uzlu: 237,1°
Argument perihelia: 296,3°
Střední anomálie: 307,3°
Epocha: 2022 NOV 19 19:14:26
orbit plot

NeinteraktivnĂ­ graf | InteraktivnĂ­ graf

position vs time
speed and acceleration