🇳🇴 🇬🇧 🇩🇪 🇨🇿 🇫🇮

Meteor Utsjokin yllä 2022-11-19 19:14:26 UTC

KML-tiedosto  |  Interaktiivinen kartta

Kartta näyttää meteorin suuntahavainnot. Vaaleammat viivat näyttävät suunnat havaintoasemilta meteorin ilmestyessä, ja tummemmat viivat näyttävät, missä se viimeksi nähtiin. Sininen nuoli näyttää meteorin näkyvän lennon.

static map
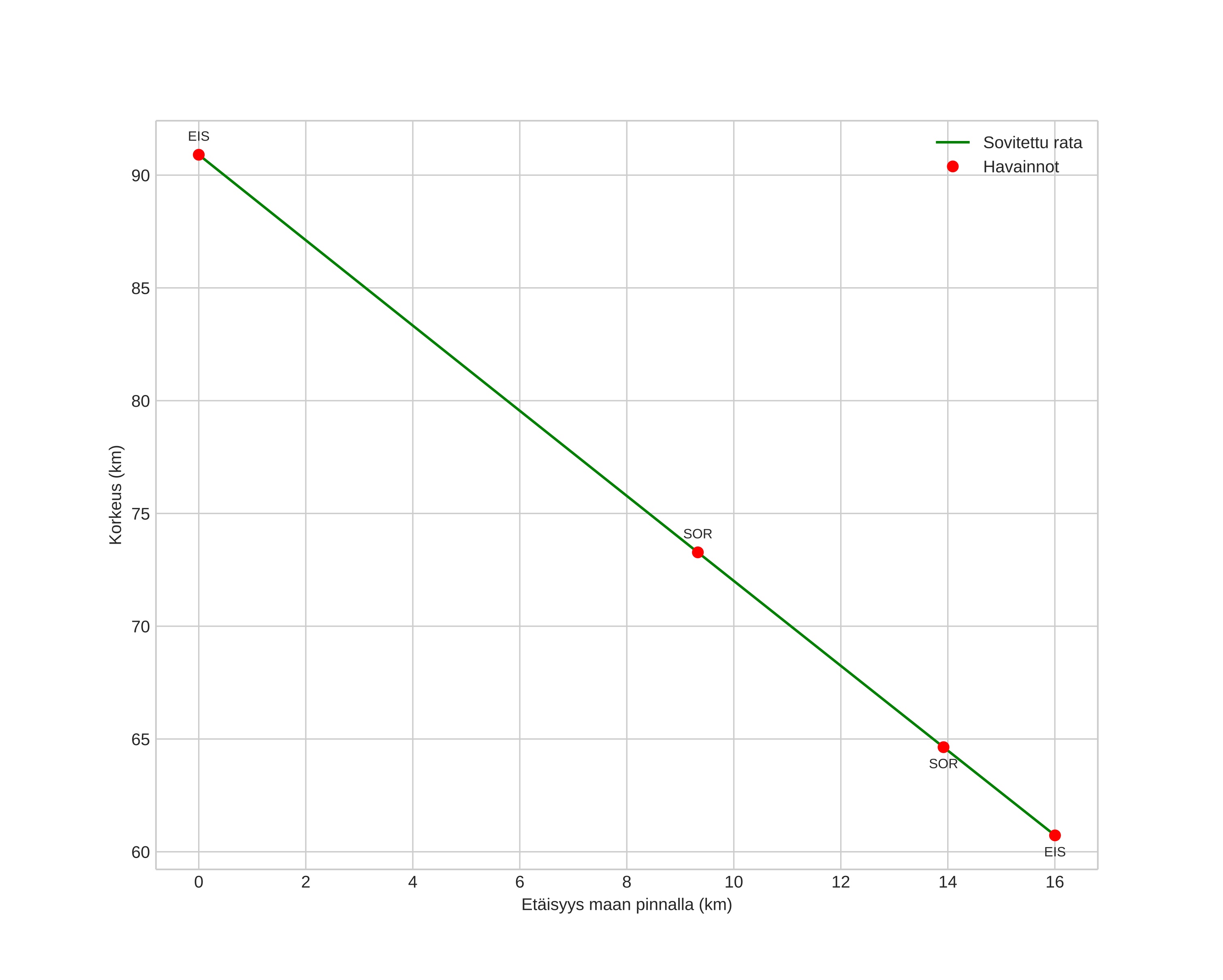
height profile
Meteorin ilmakehärata:
Alkukorkeus: 90,9 km
Loppukorkeus: 60,7 km
Alkupiste: 69,623N 27,644E
Loppupiste: 69,543N 27,305E
Suunta: 235,9°
Kallistuskulma: 62,2°
Tulonopeus: 29,7 km/s
Radiantin R,A,: 06:26 (96,7°)
Radiantin Dekl,: 66,5°
Meteoriparvi: Sporadinen
Meteoroidin rataelementit:
Perihelietäisyys: 0,491 AU
Eksentrisyys: 0,535
Inklinaatio: 45,9°
Nousevan solmun pituus: 237,1°
Perihelin argumentti: 296,3°
Keskianomalia: 307,3°
Epookki: 2022 NOV 19 19:14:26
orbit plot

Ei-interaktiivinen kuvaaja | Interaktiivinen kuvaaja

position vs time
speed and acceleration