🇳🇴 🇬🇧 🇩🇪 🇨🇿 🇫🇮

Meteor, poloha: Evjen 2022-11-19 20:35:13 UTC

Soubor KML  |  InteraktivnĂ­ mapa

Mapa zobrazuje dráhy meteoru. Světlejší čáry ukazují směry od pozorovacích stanic při objevení se meteoru a tmavší čáry, kde byl naposledy viděn. Modrá šipka značí viditelnou dráhu meteoru.

static map
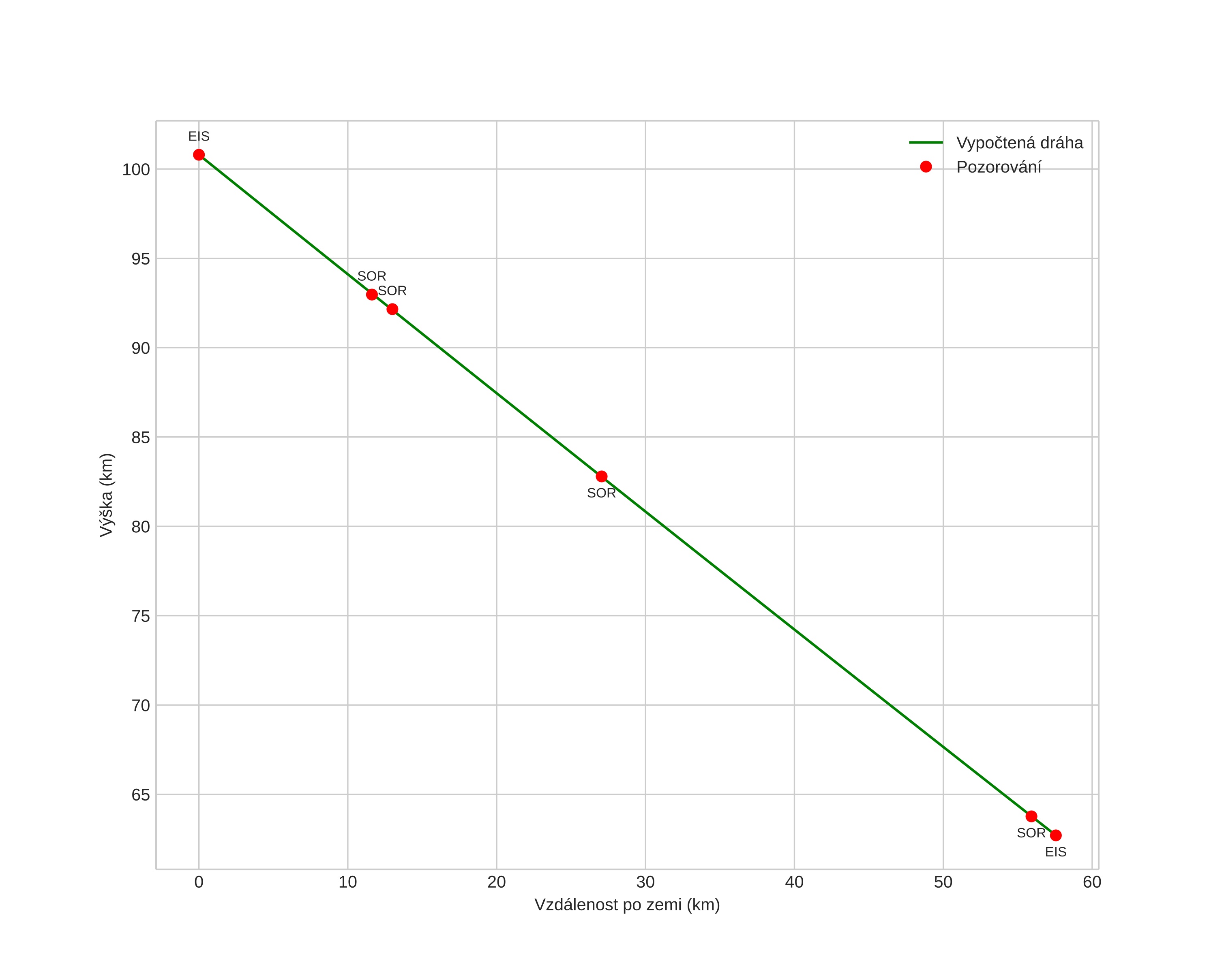
height profile
Atmosférická dráha meteoru:
Počáteční výška: 101,0 km
Konečná výška: 61,8 km
Počáteční poloha: 68,289N 14,688E
Konečná poloha: 68,657N 13,738E
Směr: 317,0°
Sklon: 34,8°
VstupnĂ­ rychlost: 28,5 km/s
Rektascenze radiantu: 03:53 (58,4°)
Deklinace radiantu: 15,5°
MeteorickĂ˝ roj: JiĹľnĂ­ Tauridy
Elementy dráhy meteoroidu:
Vzdálenost v periheliu: 0,504 AU
Excentricita: 0,857
Sklon dráhy: 4,1°
Délka vzestupného uzlu: 57,2°
Argument perihelia: 93,5°
Střední anomálie: 353,8°
Epocha: 2022 NOV 19 20:35:13
orbit plot

NeinteraktivnĂ­ graf | InteraktivnĂ­ graf

position vs time
speed and acceleration