🇳🇴 🇬🇧 🇩🇪 🇨🇿 🇫🇮

Meteor Evjenin yllä 2022-11-19 20:35:13 UTC

KML-tiedosto  |  Interaktiivinen kartta

Kartta näyttää meteorin suuntahavainnot. Vaaleammat viivat näyttävät suunnat havaintoasemilta meteorin ilmestyessä, ja tummemmat viivat näyttävät, missä se viimeksi nähtiin. Sininen nuoli näyttää meteorin näkyvän lennon.

static map
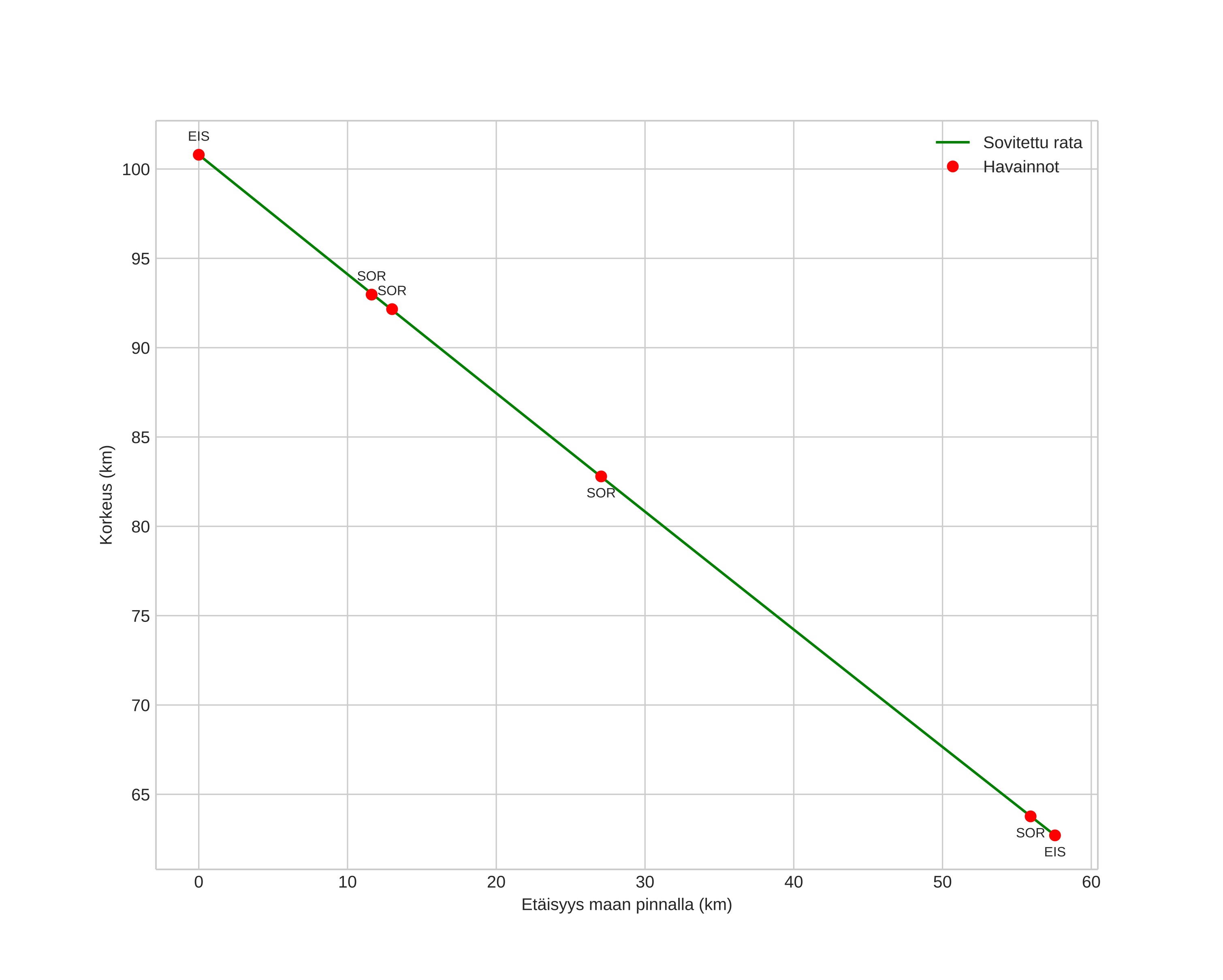
height profile
Meteorin ilmakehärata:
Alkukorkeus: 101,0 km
Loppukorkeus: 61,8 km
Alkupiste: 68,289N 14,688E
Loppupiste: 68,657N 13,738E
Suunta: 317,0°
Kallistuskulma: 34,8°
Tulonopeus: 28,5 km/s
Radiantin R,A,: 03:53 (58,4°)
Radiantin Dekl,: 15,5°
Meteoriparvi: Eteläiset tauridit
Meteoroidin rataelementit:
Perihelietäisyys: 0,504 AU
Eksentrisyys: 0,857
Inklinaatio: 4,1°
Nousevan solmun pituus: 57,2°
Perihelin argumentti: 93,5°
Keskianomalia: 353,8°
Epookki: 2022 NOV 19 20:35:13
orbit plot

Ei-interaktiivinen kuvaaja | Interaktiivinen kuvaaja

position vs time
speed and acceleration