🇳🇴 🇬🇧 🇩🇪 🇨🇿 🇫🇮

Meteor, poloha: VĂĄgaholmen 2022-11-19 21:56:53 UTC

Soubor KML  |  InteraktivnĂ­ mapa

Mapa zobrazuje dráhy meteoru. Světlejší čáry ukazují směry od pozorovacích stanic při objevení se meteoru a tmavší čáry, kde byl naposledy viděn. Modrá šipka značí viditelnou dráhu meteoru.

static map
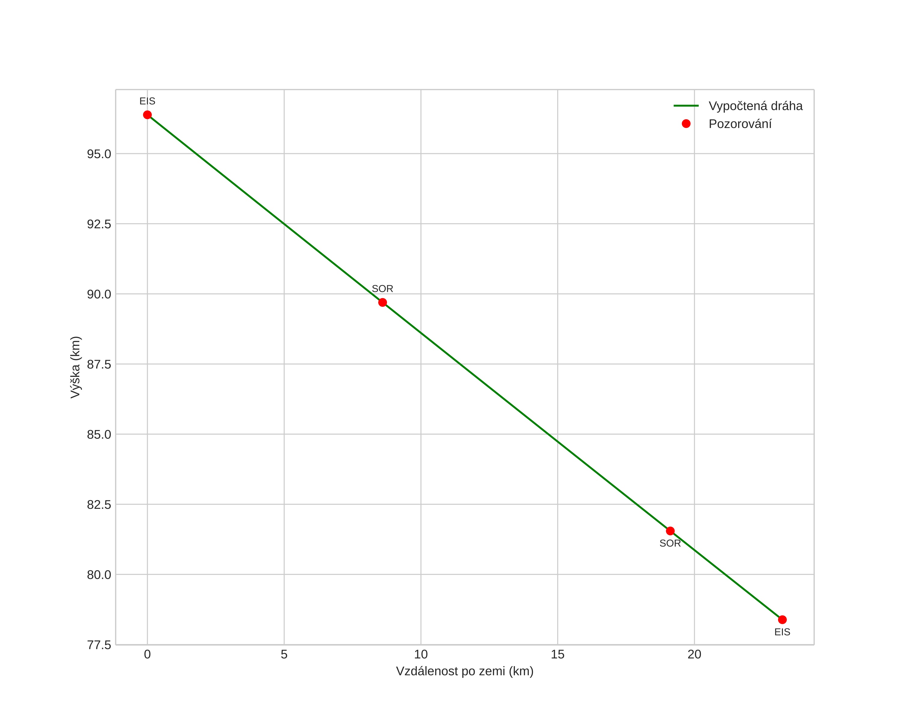
height profile
Atmosférická dráha meteoru:
Počáteční výška: 101,4 km
Konečná výška: 83,4 km
Počáteční poloha: 66,891N 13,373E
Konečná poloha: 67,016N 12,931E
Směr: 306,2°
Sklon: 37,1°
VstupnĂ­ rychlost: 25,2 km/s
Rektascenze radiantu: 05:42 (85,7°)
Deklinace radiantu: 18,9°
MeteorickĂ˝ roj: sporadickĂ˝
Elementy dráhy meteoroidu:
Vzdálenost v periheliu: 0,242 AU
Excentricita: 0,724
Sklon dráhy: 5,2°
Délka vzestupného uzlu: 57,3°
Argument perihelia: 143,1°
Střední anomálie: 300,4°
Epocha: 2022 NOV 19 21:56:53
orbit plot

NeinteraktivnĂ­ graf | InteraktivnĂ­ graf

position vs time
speed and acceleration