🇳🇴 🇬🇧 🇩🇪 🇨🇿 🇫🇮

Meteor über Vågaholmen 2022-11-19 21:56:53 UTC

KML-Datei  |  Interaktive Karte

Die Karte zeigt die Peilungen für den Meteor. Die helleren Linien zeigen die Richtungen von den Beobachtungsorten beim Erscheinen des Meteors, und die dunkleren Linien, wo er zuletzt gesehen wurde. Der blaue Pfeil zeigt die sichtbare Bahn des Meteors.

static map
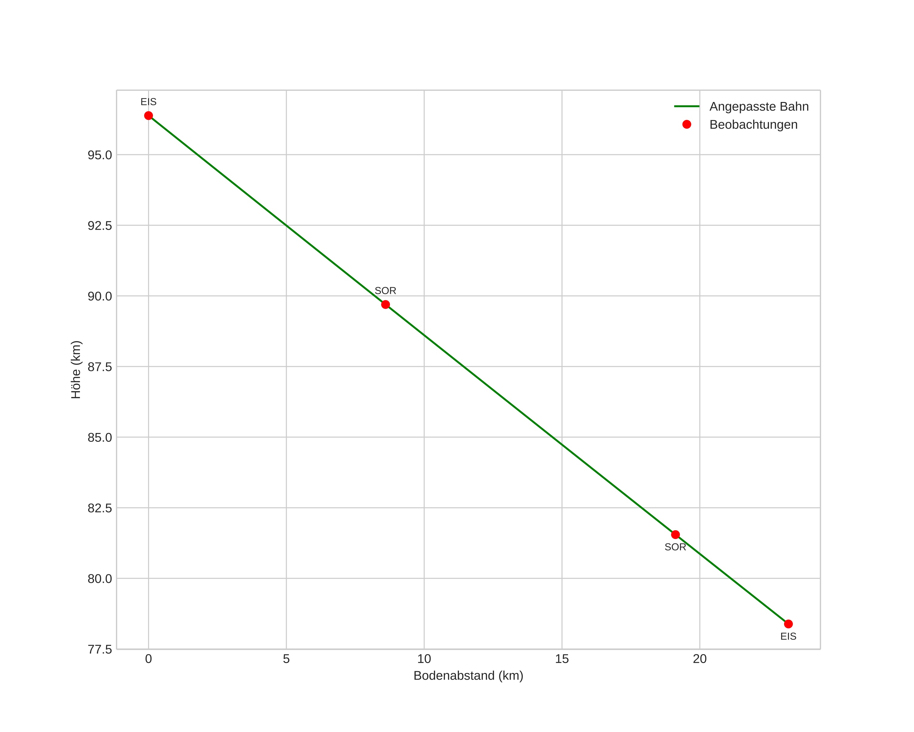
height profile
Atmosphärische Bahn des Meteors:
Anfangshöhe: 101,4 km
Endhöhe: 83,4 km
Startposition: 66,891N 13,373E
Endposition: 67,016N 12,931E
Richtung: 306,2°
Neigungswinkel: 37,1°
Eintrittsgeschwindigkeit: 25,2 km/s
Rektaszension des Radianten: 05:42 (85,7°)
Deklination des Radianten: 18,9°
Meteorstrom: sporadisch
Bahnelemente des Meteoroiden:
Periheldistanz: 0,242 AU
Exzentrizität: 0,724
Inklination: 5,2°
Länge des aufsteigenden Knotens: 57,3°
Argument des Perihels: 143,1°
Mittlere Anomalie: 300,4°
Epoche: 2022 NOV 19 21:56:53
orbit plot

Nicht-interaktives Diagramm | Interaktives Diagramm

position vs time
speed and acceleration