🇳🇴 🇬🇧 🇩🇪 🇨🇿 🇫🇮

Meteor, poloha: Kautokeino 2022-11-20 05:16:26 UTC

Soubor KML  |  InteraktivnĂ­ mapa

Mapa zobrazuje dráhy meteoru. Světlejší čáry ukazují směry od pozorovacích stanic při objevení se meteoru a tmavší čáry, kde byl naposledy viděn. Modrá šipka značí viditelnou dráhu meteoru.

static map
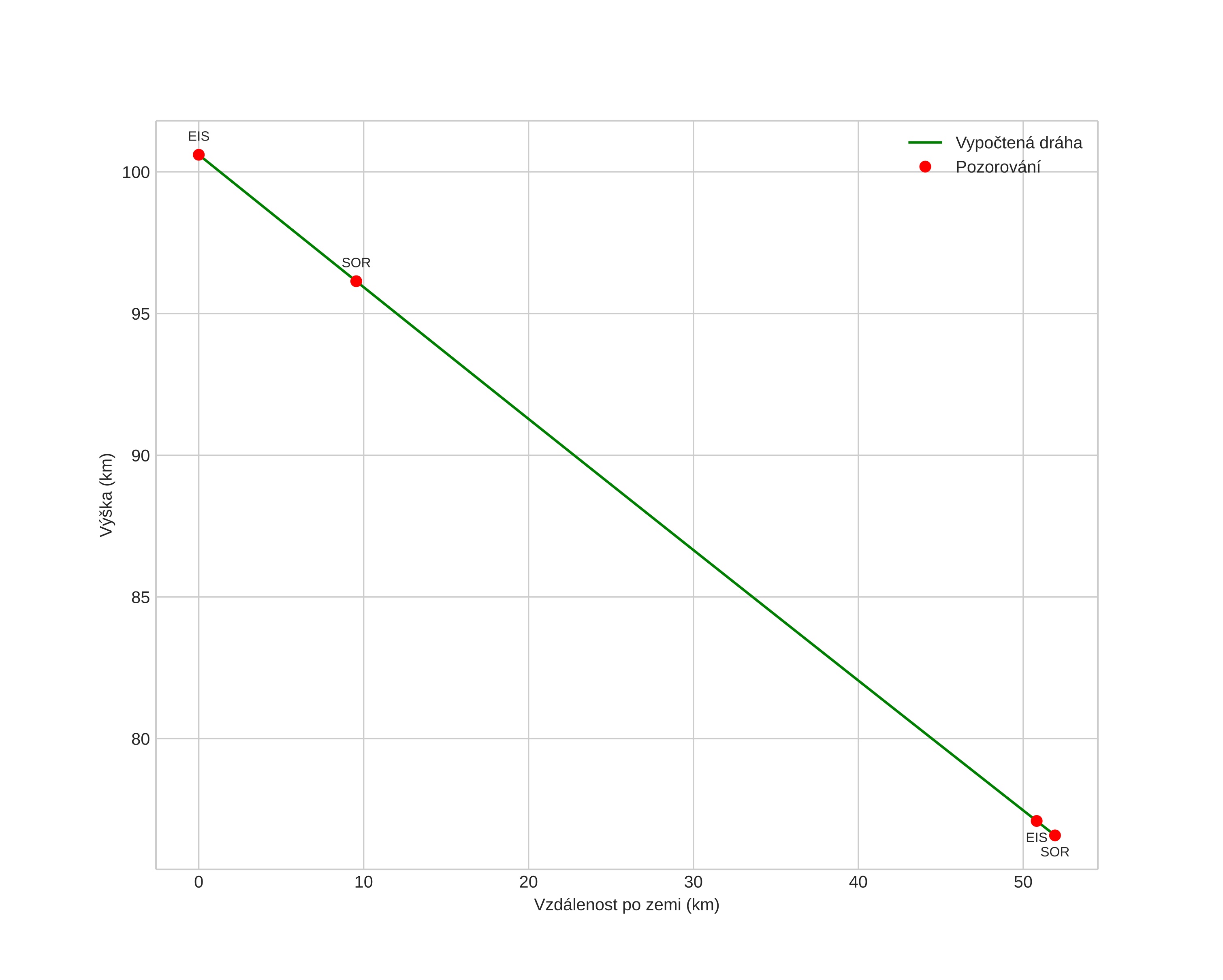
height profile
Atmosférická dráha meteoru:
Počáteční výška: 95,4 km
Konečná výška: 76,3 km
Počáteční poloha: 69,240N 22,527E
Konečná poloha: 69,149N 23,599E
Směr: 102,9°
Sklon: 23,7°
VstupnĂ­ rychlost: 30,5 km/s
Rektascenze radiantu: 04:24 (66,2°)
Deklinace radiantu: 24,0°
MeteorickĂ˝ roj: SevernĂ­ Tauridy
Elementy dráhy meteoroidu:
Vzdálenost v periheliu: 0,368 AU
Excentricita: 0,844
Sklon dráhy: 2,7°
Délka vzestupného uzlu: 237,5°
Argument perihelia: 291,9°
Střední anomálie: 348,6°
Epocha: 2022 NOV 20 05:16:26
orbit plot

NeinteraktivnĂ­ graf | InteraktivnĂ­ graf

position vs time
speed and acceleration