🇳🇴 🇬🇧 🇩🇪 🇨🇿 🇫🇮

Meteor Kautokeinon yllä 2022-11-20 05:16:26 UTC

KML-tiedosto  |  Interaktiivinen kartta

Kartta näyttää meteorin suuntahavainnot. Vaaleammat viivat näyttävät suunnat havaintoasemilta meteorin ilmestyessä, ja tummemmat viivat näyttävät, missä se viimeksi nähtiin. Sininen nuoli näyttää meteorin näkyvän lennon.

static map
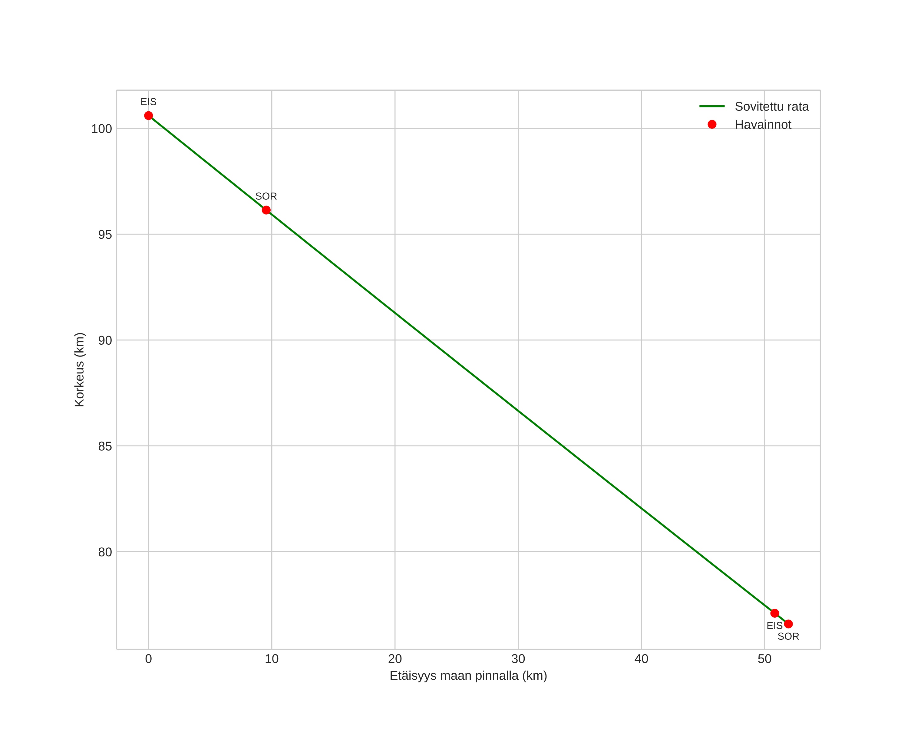
height profile
Meteorin ilmakehärata:
Alkukorkeus: 95,4 km
Loppukorkeus: 76,3 km
Alkupiste: 69,240N 22,527E
Loppupiste: 69,149N 23,599E
Suunta: 102,9°
Kallistuskulma: 23,7°
Tulonopeus: 30,5 km/s
Radiantin R,A,: 04:24 (66,2°)
Radiantin Dekl,: 24,0°
Meteoriparvi: Pohjoiset tauridit
Meteoroidin rataelementit:
Perihelietäisyys: 0,368 AU
Eksentrisyys: 0,844
Inklinaatio: 2,7°
Nousevan solmun pituus: 237,5°
Perihelin argumentti: 291,9°
Keskianomalia: 348,6°
Epookki: 2022 NOV 20 05:16:26
orbit plot

Ei-interaktiivinen kuvaaja | Interaktiivinen kuvaaja

position vs time
speed and acceleration