🇳🇴 🇬🇧 🇩🇪 🇨🇿 🇫🇮

Meteor, poloha: Breivikbotn 2022-11-20 17:57:13 UTC

Soubor KML  |  InteraktivnĂ­ mapa

Mapa zobrazuje dráhy meteoru. Světlejší čáry ukazují směry od pozorovacích stanic při objevení se meteoru a tmavší čáry, kde byl naposledy viděn. Modrá šipka značí viditelnou dráhu meteoru.

static map
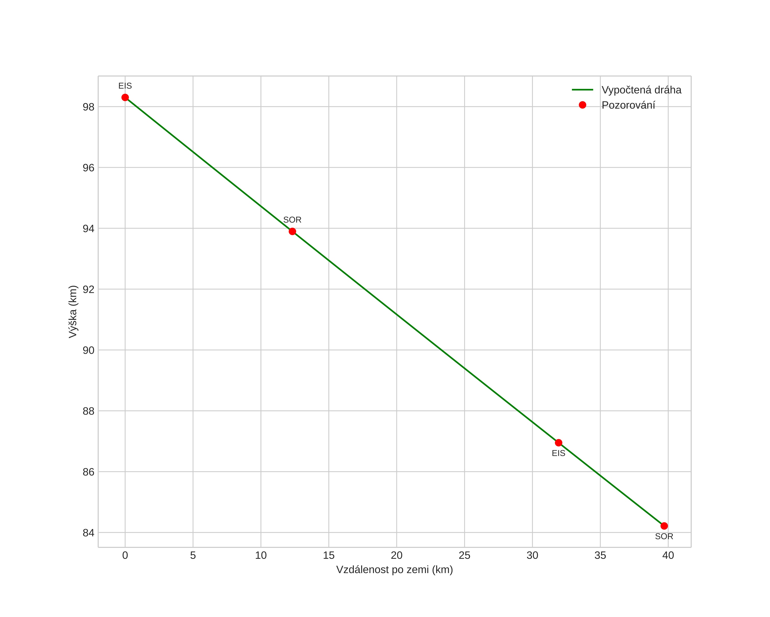
height profile
Atmosférická dráha meteoru:
Počáteční výška: 98,5 km
Konečná výška: 87,2 km
Počáteční poloha: 71,770N 22,259E
Konečná poloha: 71,497N 22,844E
Směr: 145,8°
Sklon: 17,1°
VstupnĂ­ rychlost: 39,7 km/s
Rektascenze radiantu: 13:59 (210,0°)
Deklinace radiantu: 30,2°
MeteorickĂ˝ roj: sporadickĂ˝
Elementy dráhy meteoroidu:
Vzdálenost v periheliu: 0,451 AU
Excentricita: 0,661
Sklon dráhy: 67,8°
Délka vzestupného uzlu: 238,1°
Argument perihelia: 68,6°
Střední anomálie: 32,2°
Epocha: 2022 NOV 20 17:57:13
orbit plot

NeinteraktivnĂ­ graf | InteraktivnĂ­ graf

position vs time
speed and acceleration