🇳🇴 🇬🇧 🇩🇪 🇨🇿 🇫🇮

Meteor Breivikbotnin yllä 2022-11-20 17:57:13 UTC

KML-tiedosto  |  Interaktiivinen kartta

Kartta näyttää meteorin suuntahavainnot. Vaaleammat viivat näyttävät suunnat havaintoasemilta meteorin ilmestyessä, ja tummemmat viivat näyttävät, missä se viimeksi nähtiin. Sininen nuoli näyttää meteorin näkyvän lennon.

static map
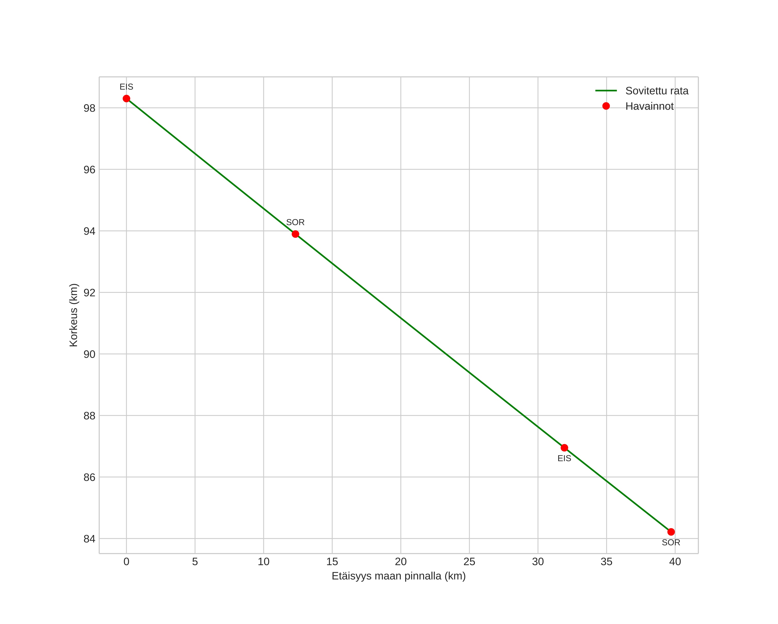
height profile
Meteorin ilmakehärata:
Alkukorkeus: 98,5 km
Loppukorkeus: 87,2 km
Alkupiste: 71,770N 22,259E
Loppupiste: 71,497N 22,844E
Suunta: 145,8°
Kallistuskulma: 17,1°
Tulonopeus: 39,7 km/s
Radiantin R,A,: 13:59 (210,0°)
Radiantin Dekl,: 30,2°
Meteoriparvi: Sporadinen
Meteoroidin rataelementit:
Perihelietäisyys: 0,451 AU
Eksentrisyys: 0,661
Inklinaatio: 67,8°
Nousevan solmun pituus: 238,1°
Perihelin argumentti: 68,6°
Keskianomalia: 32,2°
Epookki: 2022 NOV 20 17:57:13
orbit plot

Ei-interaktiivinen kuvaaja | Interaktiivinen kuvaaja

position vs time
speed and acceleration